研报&论文

“学海拾珠”系列之六十八:基金组合如何配置权重:能力平价模型

由crisvalentine创建,最终由crisvalentine 被浏览 37 用户

报告摘要

主要观点

本篇是“学海拾珠”系列第六十八篇,本期推荐的海外文献研究了纳入基金经理能力的基金投资组合配置模型。作者重点关注选股能力与市场择时能力,因两种能力之间存在着难以解决的权衡问题,作者提出了能力平价模型(AP),以寻求更稳健的基金投资组合。回到国内基金市场,目前对于基金组合的配置方法研究尚处于起步阶段,文中提到的选股与择时能力的权衡与最大化为我们开拓了新的思路。

  • 能力平价(AP)模型

作者通过纳入基金经理的能力来扩展传统的均值-方差框架,并把重点放在选股能力和由Trenor和Mazuy(TM)度量的市场择时能力,大量的证据表明,两种能力之间存在着难以解决的权衡问题,过度追求其中一种能力可能导致另一种能力的负值,两种能力之间的相关性为负值的现象可以用过度选股来解释,积极选股的基金往往带有特别高的市场择时成本。因此,作者提出了能力平价模型(AP),在基金经理的选股能力和市场择时能力的贡献之间寻求平衡,减少权衡的成本,产生一个更稳健的、有更好表现的基金组合。

  • AP 模型较经典投资组合选择模型明显占优

作者将AP模型与五个竞争模型,即等权投资组合(EW),最小方差模型(MV),Markowitz的平均方差模型(MW),最大夏普比率(MS),和风险平价方法(RP),以及基准沪深300指数相比较,结果显示AP模型在大多数模型评价指标上显著优于其他模型:年化收益率、偏度、夏普比率、最大回撤。同时,在考虑了交易成本和再平衡期的敏感性分析中,该结果也具有较强的稳健性。

  • 因子模型下 AP 模型的业绩归因与超额收益

作者分析了Fama-French因子模型下的风险调整后的业绩指标,发现AP投资组合对MKT、SMB和UMD的风险敞口显著为正,对HML的风险敞口显著为负,表明该投资组合倾向于持有小市值、成长型和动量股票。在不同的因子模型下,alpha估计值均显著为正,即投资组合存在由AP模型产生的的风险调整后的超额收益,且不能被Fama-French因子所解释。

风险提示

本文结论基于历史数据与海外文献进行总结;不构成任何投资建议。

\

介绍

自Markowitz(1952)的开创性工作以来,均值-方差优化方法被认为是投资组合选择的基本框架。在Markowitz的基础上有各种衍生的替代模型,包括最小方差投资组合、最大夏普比率和最小半方差投资组合(Ang等,2006;Frahm和Memmel,2010)。Markowitz的模型开创了第一个收益与风险相权衡的定量框架,而其对输入敏感性的实际限制(Best和Grauer,1991)促进了近来探索性方法的兴起。毫无疑问的是,投资组合选择模型的实用性已经在实践中得到了证明,尤其是对于股票投资组合。

由于信息不对称等摩擦因素,公司在募集外部资本的时候会受到限制(Fazzari, Hubbard, and Petersen (1988)。这些财务限制使得外部的资金比内部资金成本更高,财务受限的公司就可能会因为缺少资金而无法投资NPV为正的项目。大量金融学和宏观经济学的文献强调了财务受限对商业周期的影响s(Kiyotaki and Moore(1997), Kiyotaki (1998)),以及信用市场的不完善是如何传播和放大财务限制对宏观经济的冲击(Bernanke andGertler (1989), and Bernanke, Gertler, and Gilchrist (1996))。种资产之间的配置。近几十年来,基金配置越来越受欢迎,引起了业界和学术界的巨大关注。不难看出上面提到的传统模型对于基金配置来说并不令人满意,因为它们都没有考虑到基金投资组合特有的属性,即基金投资组合是通过一些独立管理的基金而不是直接通过股票或债券构建的。因为每个基金本身就是一个由基金经理管理的投资组合,基金的业绩不仅由基础资产的均值-方差结构决定,更重要的是由基金经理的管理能力决定(Fama,1972)。因此,将能力指标适当纳入投资组合选择模型,以确保分配给每个基金的权重能够反映基金投资组合的具体特征是至关重要的。

文献中提供了许多成熟的评估基金能力的方法。这些方法可以大致分为两类:基于回报的方法和基于持仓的方法。基于回报的方法主要是将基金的超额回报序列回归到一些相关的基准的超额回报序列上。通常,学者们在回归方程中使用市场超额收益的非线性形式来表示市场择时能力,用截距项(α)来表示选股能力,如Treynor和Mazuy(1966),Henriksson和Merton(1981)等。在基于持仓的方法中,基金经理的技能主要是根据投资组合中每只证券的权重和回报序列来评估。Daniel等人(1997)为这种方法提供了坚实的基础,在这种方法中,基金经理的能力是根据被评估的投资组合中所持有的股票的特征,即以市值、账面市值比和上年回报为基础,对基准进行描述。此外,在Boguth等人(2012)、Cao等人(2013)以及Ferson和Mo(2016)的研究中,基金经理的择时能力被进一步发展并扩展为市场择时、波动率择时和流动性择时。这些研究表明,为了捕捉共同基金的基本特征,投资者应该关注管理能力。

作为建立包含基金经理能力的优化模型的第一次尝试,作者把重点放在选股能力和由Trenor和Mazuy(TM)度量的市场择时能力。这两种能力的重要性体现在:均值-方差-偏度效率可以通过选股能力的边际增加以及市场择时能力的边际增加来提高。具体来说,Back等人(2018)表明选股能力和市场择时能力分别与CAPM alpha和协偏度成正比,在理想的效用函数下,对均值和偏度均有贡献。成功的基金配置在这两种能力上都产生了正值,这也自然导致了在基金配置模型中要考虑最大化两种能力的总贡献。另一方面,大量的证据表明在不同的时间段,两种能力之间存在着难以解决的权衡问题,过度追求其中一种能力可能导致另一种能力的负值(Bollen和Busse,2001;Fung等人,2002)。两种能力之间的相关性为负值的现象可以用过度选股来解释,类似于Back等人(2018)分析的CAPM alpha和协偏度之间的权衡,表明积极选股的基金往往带有特别高的市场择时成本。由于选股和择时能力在基金投资组合的长期表现中都很重要,一个定义明确的方法不应该只集中在其中一个方面。因此,平衡这些能力可能会提供一个更合适的方法来减少权衡的成本,并有可能产生一个更稳健的、有更好表现的基金组合。

在上述关键事实的推动下,作者提出了一个新的基金组合模型,用于优化基金配置,即能力平价模型(ability parity,以下简称AP)。关于如何平衡这两种能力,作者首先介绍了完全(朴素)能力平价,然后提出了一般能力平价模型。完全能力平价是指投资组合具有相同的选股能力和市场择时能力的分配,即没有选股或市场择时能力的权衡成本。然而,朴素能力平价有几个隐患:它不仅可能导致无解,而且可能产生两种能力均为负值的情况,这样实证结果可能表现不佳。因此,作者的能力平价模型被定义在了一个更一般的形式上,同时反映了上一段提到的两个方面的关注。具体来说,作者将两种能力的总贡献最大化,同时将权衡成本最小化,其中总贡献由两种能力之和来定义,而权衡成本由两种能力之差来定义。这两个目标通过引入一个调整参数(惩罚系数)被合并为一个目标函数,该参数可被视为两个目标的权重。作者还对惩罚系数的选择进行了详细的讨论,并证明了所提出的模型及其退化情况的理论性质。

为了检验所提出的能力平价模型的实证表现,作者将模型与经典的资产配置进行了比较。作者利用中国共同基金市场的数据,对等权“1/n”规则、最小方差模型、Markowitz的均值-方差模型、最大夏普比率模型和风险平价方法以及基准指数,即沪深300指数(CSI300)进行了研究。作者使用滚动窗口方法对所提出的模型和竞争模型进行了估计,以便回测能够模仿真实的交易过程。在相同的参数设置下,作者提出的能力平价模型取得了更高的年化收益率、偏度和1.02的夏普比率,而竞争模型的最高夏普比率为0.4,沪深300指数的夏普比率为0.18。在2006年1月至2017年12月期间,作者提出的能力平价模型取得了比最佳竞争模型高5倍左右的累计收益,是沪深300指数的近10倍,而最大回撤(MDD)的绝对值最小。然后,作者对不同的参数设置进行了详细的敏感性分析,发现大部分的结果都没有改变,说明实证分析背后的证据是强大而稳健的。作者还分析了Fama-French因子模型下的风险调整后的业绩指标,并发现了现有因子无法解释的显著的alpha。

\

模型

在本节中,作者首先将经典的TM模型扩展到多资产框架中,并用它来衡量基金组合的市场择时和选股能力。在本文中,能力平价被定义为基金组合的选股能力和市场择时能力的贡献相等。在这个理论框架的基础上,作者提出了基金配置模型——能力平价模型,并讨论了其特性。

基金投资组合的选股和市场择时能力

共同基金的两种增值能力,即选股能力和市场择时能力,是评价基金经理业绩时最广泛采用的指标。在最初的TM模型中,这两种能力被用于市场超额收益的平方对基金的超额收益进行建模:

{w:100}其中,rem,t=rm,t-rf,t是市场组合在时间t相对于无风险利率的超额收益,rei,t是第i只基金在时间t的超额收益,i=1,2,...,n以及t=1,2,...,T。市场择时可以被视为动态资产配置的一种形式。具有良好的市场择时能力的基金经理会在市场上涨时增加其投资组合的市场风险敞口,而在市场回落时减少其敞口。这种行为导致了基金收益和市场收益之间的凸关系。TM模型用re2m,t来表示这种凸关系,而γi反映了第i个基金的市场择时能力。

另一个有影响力的市场择时模型是Henriksson和Merton(1981)的模型。HM模型用一个看涨期权型的回报项来表示择时能力,即max(rem,t ,0),而不是TM模型中的re2m,t。这是定义共同基金经理的选股能力和市场择时能力的另一种方法,但它在本质上与TM 模型相似。在本文中,作者主要研究TM模型所衡量的选股和择时能力的衡量标准。

作者接下来考虑基金组合相应的能力表现。w = (w1,w2, . . .wn)' 是n个基金的权重向量。然后,基金组合的超额收益rep,t可以从公式(1)中计算出来:

{w:100}根据公式(2),αp和γp可以简单地计算为单个基金能力的加权平均值,反映了基金组合所对应的基金经理的选股能力和市场择时能力。

TM 模型下的均值-方差-偏度效率

为了进一步了解选股能力αp和市场择时能力γp,作者考虑了它们与协偏度(Coskewness)定价模型的关系(Back等,2018)。协偏度是指回报率或超额回报率与基准的平方的协方差:

{w:100}其中,超额收益被定义为零成本投资组合rep,t - bprem,t的回报,基准的平方被定义为市场超额收益re2m,t,t,ap、bp和ep是该投资组合的CAPM的α、β和误差项。通过一个常数v≥0的回报rv,t来构建零β的rep,t:

{w:100}Back等人(2018)的研究结果显示如下:

{w:100}导数显示了相对于持有市场组合而言,少量投资产生的前三阶矩变化的符号。从(5a)中作者发现,如果股票选择能力αp为正,则投资会增加平均收益。从(5c)中发现,如果市场择时能力γp为正,则投资会增加偏度。根据偏度定价模型,在投资组合选择中必须纳入高阶矩,这一点从效用函数的泰勒展开中可以看出。利用(5a)-(5c)的结果,作者进一步证明这两种能力如何通过以下方程对效用函数做出贡献:

{w:100}其中,μv=E(rv),σ2v=E(rv-μv)2和m3v=E(rv-μv)3

另外,λ1=U′(0),λ2=-U’’(μv)/2!,λ3=U’’’(μv)/3! 是理想的效用函数下的三个正数,因为U′>0,U′′<0,U′′′>0(Kraus和Litzenberger,1976)。那么,效用函数的边际增加可以写成:

{w:100}这正是股票选择能力αp和市场择时能力γp的线性组合。因此,边际投资于具有较大选股能力和市场择时能力的回报可以提高均值-方差-偏度效率。

2.3能力的总贡献和权衡成本

正如上面的讨论,建立基金配置模型的一个直接方法是最大化(7)中描述的两种能力的线性组合。然而,调整参数λ1和λ3的选择是主观的,它由效用函数的形状决定,即投资者对这两种能力的相对偏好。在这里,作者引入了一种更加启发式的方法,定义了两种能力的总贡献和权衡成本,作者证明了这在数学上等同于通过(11)最大化(7),但调整参数的选择更容易且更直观。最后,在平衡选股和市场择时能力下,它能提供更稳健的基金配置结果。

根据Ingersoll等人(2007)的研究,两种能力的总贡献可以定义为归因于这两种能力的公式(2)的期望值,即γp的期望值乘以市场上超额收益的平方,加上由超额平均收益αp度量的平均成本:

{w:100}其中,λ=Ere2m,t,α=(α1, ...,αn)′,γ=(γ1, ..., γn)′和w= (w1, ...,wn)'。这里作者没有像Ingersoll等人(2007)那样使用(8)的现值,因为它不影响优化模型的结果。最大化(8)将通过(7)直接促进边际效用,而它是(7)的一个特例,使选股能力w′α和选股能力λw′γ的权重相等。

需要注意的是,公式(8)也是直接贡献于投资组合的收益,通过对公式(2)两边求期望值。作者没有像Ingersoll等人(2007)那样将βp纳入总贡献中是因为:首先,βp与αp和γp不同的是,αp和γp衡量的是基金经理的两种能力,因此在未来的业绩中显示出一定的持续性,而βp衡量的是投资组合对市场的风险暴露,并不是指基金经理的某种能力。其次,我们并不知道βp应该是大还是小,因为β估计值的分选效应在实证上并不显著(Fama和French,1992),简单地将βp Erem,t加入公式(8)中会导致优化结果不稳定。第三,根据(6)和(7),αp和γp的贡献是明确的,而βp的贡献是比较模糊的,因为它可能同时放大投资组合的收益和波动。

另一方面,如(5a)-(5c)所示,选股能力和市场择时能力之间的关系与CAMP alpha和协偏度的结果很相似。协偏度定价模型(Kraus和Litzenberger,1976)意味着如果投资者关心收益的前三阶矩,协偏度应该与α负相关。在作者的实证数据中,作者记录了两种能力之间的稳健的权衡,其中许多基金的市场择时能力是负的,这与Back等人(2018)的研究结果一致。这两种能力之间的相关性为负表明基金经理倾向于选择那些有特别高的市场择时成本的高alpha股票。在这种情况下,直接将总贡献(8)最大化可能会忽略这两种能力之间的负相关关系,从而出现不平衡的结果。为了衡量这两种能力的相对重要性,作者将权衡成本定义为两种能力之差的绝对值

{w:100}公式(9)的定义可与投资者对两种能力的相对偏好有关,其中高权衡成本表示对其中一种能力的极端偏好,零权衡成本表示对两种能力的同等偏好。

\

能力的总贡献和权衡成本

能力平价的提出是为了减少公式(9)中给出的权衡成本,完全(朴素)能力平价是通过使权衡成本等于零来定义的:

{w:100}其中,λ=Ere2m,t,α=(α1, ...,αn)′,γ=(γ1, ..., γn)′和w= (w1, ...,wn)'。

完全能力平价背后的想法与风险平价方法有一些相似之处,特别是基于因子的风险平价模型,它试图从现有标的资产或因子中构建对风险具有同等贡献的组合(Roncalli和Weisang,2016)。尽管如此,这里提出的能力平价模型与风险平价本质上并不相同,不能被视为简单的延伸,原因如下:首先,风险平价强调的是归因于每个资产的单一因子(风险贡献)的平价,而能力平价是归因于基金组合的两个或多个因子(基金经理的能力)的平价。其次,风险平价倾向于控制目标组合的总风险,而能力平价倾向于降低权衡成本,取得相对稳定的结果。此外,为了充分发挥风险平价的优势,通常需要使用杠杆,但许多投资者在现实中面临杠杆限制。然而,在能力平价模型中,作者并不依赖任何关于杠杆的假设。这意味着能力平价的实施相对来说更加方便和可行。

然而,公式(10)中的严格约束可能有问题。首先,市场择时能力和选股能力之间完全等权可能导致优化问题无解。一个典型的极端例子是,一种能力的贡献总是更大。其次,完全能力平价模型的解可能是次优的。有些情况下,模型的解非常少,而且两种能力可能都为负数。由于(10)中的约束太强了,所以作者删去了这种约束。

正如前面几个小节所描述的,最大化选股能力和市场择时能力的总贡献有助于提高投资组合的均值-方差-偏度效率,而权衡成本衡量了两种能力之间的偏好。更具体地说,高权衡成本可能导致对均值和偏度的不同偏好,进一步导致不稳定的优化结果,最终影响均值-方差-偏度效率。因此,公式(8)和(9)对于建立一个优化模型非常重要。为了理解上述讨论,作者定义了如下的目标函数:

{w:100}其中,c是一个非负的惩罚系数。公式(11)的形式与(7)中给出的边际效用完全相同,作者表明,权衡成本通过调整参数c来影响对两种能力的相对偏好。因此,最大化(11)能以更灵活的方式来平衡能力并有助于均值-方差-偏度效率,这可以产生表现更好的稳健的基金组合。

由于(11)包括一个绝对值函数,无法求导,导致很难求解优化问题。因此,当最大化公式(8)中定义的两种能力的总贡献时,作者使用了公式(9)中定义的权衡成本的平方。作者把该模型称为一般能力平价模型,它有以下形式:

{w:100} {w:100}c为惩罚系数,不小于零。

优化问题(12)用标准的二次凸规划求解。目标函数的Hessian矩阵是半正定矩阵,因此有全局最优解。此外,作者还讨论了(12)中的两个特殊情况,即c=0和c=∞,分别代表最大能力和能力平价。

当c=0时,优化问题(12)成为一个线性规划问题,使选股和市场择时的能力之和最大化,且线性规划(13)有唯一解析解(14):

{w:100}因此,能力平价组合模型被称为一般能力平价模型(12)。需要注意的是,在解决优化问题之前,必须对参数λ,α,γ,μ,Σ进行估计,可以使用常规的非线性规划算法来寻找最优解,如广义的减梯度法(Cornuejols和Tütüncü,2007)通过设置初始权重为等权组合。

惩罚系数的选择

AP模型(12)中定义的惩罚系数c是一个非负数,反映了优化问题中能力最大化和能力平价之间的相对重要性。c的选择类似于传统均值方差模型中的风险回归系数的选择。交叉验证是一种常用的方法,但它高度依赖于样本数据,作者介绍了一种替代方法。

作者把能力平价从(13)加到(12),主要是因为从(14)的解来看,两种能力的差异可能太大,这可能导致样本外表现不稳定。因此,对能力平价的关注程度应该取决于(14)中两种能力的差异。

使i=arg max(αi+λγi)。那么,最大的投资组合的能力是αi+λγi。如果∣αi-λγi∣为零,因为从优化问题(13)中得出的解(14)已经完全满足了能力平价约束,所以应该将(12)中的惩罚系数c设置为零。否则,如果∣αi-λγi∣非常大,那么应该在(12)中增加能力平价约束的权重,以获得更好的样本外表现。因此,根据经验,作者建议可以用以下方法选择惩罚系数c:

{w:100}在下一节中,作者将比较交叉验证法和上述经验法在实际数据分析中的样本外表现。作者的实证结果表明,这个简单的经验法表现良好。

实证结果

数据与统计摘要

实证结果是基于中国共同基金市场的数据,其中作者主要关注主动管理的股票基金和股票型混合基金。作者从WIND数据库中收集数据,WIND数据库是中国金融市场中最受欢迎、最权威的金融数据库之一。数据集范围从2006年1月4日到2017年12月31日,共有832只基金的2917个交易日数据。2017年1月1日之后成立的新基金(不超过250个交易日)被排除在外。最后的样本中共包含了699只基金。

图表 1说明了每年的样本基金数和新成立的基金数。蓝色柱体代表现有基金总量,显然基金的总数每年都在增长。红色折线代表新募集的基金,大致呈现出加速增长的趋势,尤其是在最近几年。为了充分利用数据,作者的实证研究是基于所有可用的基金,因此,随着样本量的逐年增加,最近几年的结果会更加精确。此外,作者使用250个观测值来估计滚动窗口方法中的参数,每个窗口中不超过250个观测值的基金将在该时间窗口被暂时排除。

{w:100}

图表 2显示了选股能力、市场择时能力及其相关性的描述性统计,在表A中按基金汇总,在表B中按时间汇总。当按基金(时间)进行汇总统计,95%(84%)的基金具有正的选股能力,97%(82%)的基金具有负的市场择时能力,这与文献中对市场择时或协偏度的估计大多为负的结论一致。在95%的基金和91%的时间里,选股能力和市场择时能力的相关性是负的,在93%(79%)的情况下,这两种能力的符号是相反的。最常见的组合是正的选股能力加上负的市场择时能力。在具有正向选股能力的案例中,98%的案例具有负向的市场择时能力,并且在整个时期内90%的平均市场择时能力为负。因此,该证据支持过度追求选股可能导致高市场择时成本的观点。

{w:100}

竞争模型和评价指标

在实证研究中,作者将提出的能力平价(AP)模型与第一节中描述的经典资产配置方法进行比较,其中包括:等权“1/n”规则(EW),最小方差模型(MV),Markowitz的平均方差模型(MW),最大夏普比率(MS),以及风险平价方法(RP)。

竞争模型的权重是通过以下步骤使用滚动窗口计算的:1)使用t日及最近的M个交易日的数据来估计优化模型中的参数,即λ,α,γ,μ,Σ;2)解决相应的优化问题,得到t日的权重;3)根据每个再平衡日的持有期H,重新进行步骤1)和2),重新平衡权重。

获得权重后,作者研究了模型的回测表现。为了模仿真实的交易过程,在第t日计算的权重对应于第t+2到第t+2+H日的投资组合回报,其中H是再平衡期。这对于避免不切实际的回测导致夸大结果来说非常重要。作者在第t日收盘后计算权重,并在第t+1日投资相应的资金,投资组合收益从t+2日开始。最后,回测的投资组合收益可以表示为:

{w:100}其中Rt是投资组合的回报,向量rt由基金的回报组成。

此外,作者还设定了用S表示的交易成本比例,包括一轮交易的基金管理费,作为在现实中分析投资组合表现时的一个重要参数。因此,资金变化如下:

{w:100}

作者从以下几个方面对实证结果进行了分析和比较:1)讨论模型的表现,使用不同的惩罚系数和第三节中建议的选择方法;2)比较不同模型在内生参数固定时的表现,将样本量M、再平衡期H和交易成本S设定为一系列特定值;3)讨论结果对每个参数的敏感性,包括参数变化对特定模型和对不同模型间相对表现的影响。

惩罚系数的选择

作者在本小节中研究了所提出的能力平价模型的样本外表现,并比较了交叉验证方法和第二节中建议的惩罚系数c选择方法。

{w:100}图表 3显示,对于收益率、波动率、夏普比率和MPPM指标,当惩罚系数增加时,能力平价模型的表现先上升,但当惩罚系数大于0.5时开始下降。表格还显示了偏度和最大回撤(MDD)之间的相关性,其中最大能力模型(c=0)由于其适度的负偏度而有最低的最大回撤。对于其他评价指标,最大能力(c=0)和完全能力平价(c=∞)模型的结果并不占优。这一结果与作者在第二节中讨论的直觉一致,即加入能力平价的约束使总能力最大化是必要的,有助于提高资金配置的表现和稳健性。在交叉验证结果中,c=0.5在大多数评价指标中表现最好。图表 3的最后一行显示了按照公式(15)中的经验法则计算惩罚系数时的表现。显然,这个简单的方法表现良好,提供了最高的回报率、夏普比率和MPPM。

为了进一步理解所提出的模型,在图表 4中作者显示了四种模型下,投资组合的选股能力和市场择时能力的时间序列:c=0(最大能力),c =∞(完全能力平价),c=0.5(交叉验证下的最佳能力平价模型),以及c=c(经验法则的AP模型)。对于c=0,作者根据公式(13)使总能力最大化,但仍然发现几个极负向的市场择时能力,这将影响模型的表现,因为只有alpha在基金配置中起着重要作用。对于c=∞,作者只考虑能力平价,发现这两种能力非常接近,但大多数是弱负值,尤其是在最近一段时间。对于c=0.5和c=c,与前两种情况相比,选股能力保持在较高的水平且市场择时能力增加,它们的表现相对更好,如图表 4所示。

{w:100}

与竞争模型的表现相比较

图表 5和图表 6中,作者报告了所提出的能力平价模型与五个竞争模型的表现,以及基准沪深300指数。比较结果是通过固定样本量、再平衡期、交易成本和惩罚系数得到的。当估计基金的选股能力和市场择时能力时,作者使用1年期国债的到期收益率作为无风险利率。

图表 5的A表显示,作者提出的AP模型在大多数模型评价指标上显著优于其他模型:年化收益率、偏度、夏普比率、最大回撤和防操纵性能指标(MPPM)。图表 5中报告的能力平价模型使用经验法下的惩罚系数c=c。显然,MV模型通过最小化投资组合方差来解决权重问题,具有最小的波动性。MW模型的表现与MV模型相似,其他评价指标的增幅很小。同时,RP模型的性能与EW的表现非常相似,因为从RP模型中计算出来的权重是非常分散的。最后,MS模型虽然在求解规划问题中实现了夏普比率的最大化,但并没有达到最大的样本外夏普比率,而是拥有第二小的最大回撤。

{w:100}

B表显示了权重集中度指数,调整范围为0至1。归一化的Herfindahl指数、Gini指数和Shannon熵值为0,意味着权重完全分散,而值为1则意味着权重极其集中。因此,从表格中可以发现,RP模型的集中度比其他模型小得多,这也解释了为什么它的表现与 EW模型相似。其他四个模型在集中度方面没有表现出明显的差异,AP模型不像MV、MW和MS模型那么集中。EW的换手率不为0是因为随着时间的推移有新的基金进入,然后在每个再平衡日将每个基金的权重调整回1/n。MS和AP的换手率比其他模型大,表明平均上每个再平衡日有超过50%的权重会发生变化。高换手率可能会增加交易成本,特别是当再平衡期较短时。

C表显示了通过Newey和West(1987)进行的自相关调整后的t检验。对角线上的数值是对相应模型的均值是否大于0的单一检验。结果显示,只有AP模型可以在1%或5%的显著性水平上拒绝原假设,表明AP模型产生的平均收益率显著大于0。如果使用10%的显著性水平,那么EW和RP模型的平均收益率也是显著为正的。虽然其他模型的平均收益率都是正的,但它们并没有产生显著的结果。非对角线的数值是成对测试,测试列模型是否比行模型表现更好。从第一行可以观察到除了AP模型外,其他所有的模型都不能显著战胜沪深300指数。从第二行和倒数第二列中,可以发现除AP模型之外的所有模型都不能战胜EW模型,RP模型的表现为第三好。最后一列显示了非常大的t统计量,表明所提出的AP模型远远超过了其他模型。

{w:100}

在图表 6中,作者将六个模型的累积回报率与基准CSI指数进行了比较。从2006年1月到2017年12月,AP模型取得了最高的累积收益率,而MV和MW虽然波动较小,尤其是在2015年的下跌行情中,却无法超越基准。六个投资组合之间的差异似乎在2008年的全球金融危机之后放大了,可能是因为:1)基金池的规模太小,无法在早年将六个模型与基准区分开来,而作者在分析中包含了在随后几年新进入的基金;2)市场的一些结构性变化大大影响了模型的表现。最后,作者再次强调了RP和EW之间的相似性,因为从RP模型计算出来的权重非常分散,接近“1/n”,这与之前对RP(或ERC)的研究结果一致。

\

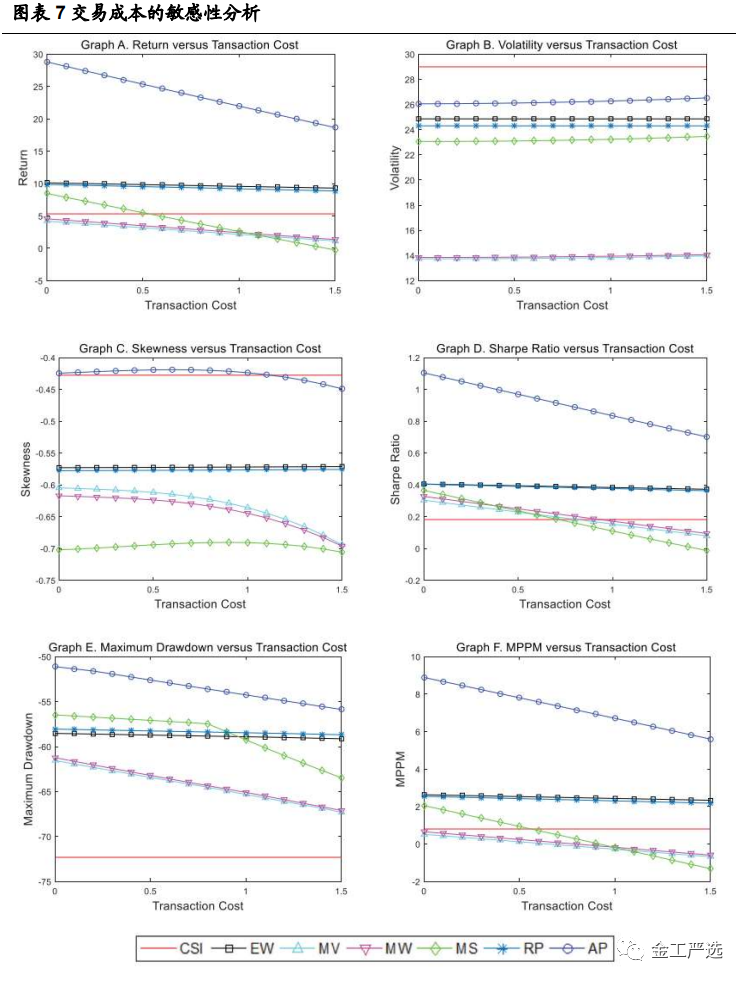
交易成本的影响

图表 7显示了公式(19)中描述的不同交易成本比例S的敏感性分析结果。比较图表 7中的不同线段可以看出,在不同的交易成本的设置下,作者所提出的能力平价模型在预期收益率、偏度、夏普比率、最大回撤和MPPM方面的表现都更优。从图中线段的趋势可以看出,增加交易成本会大大降低大部分模型的表现,尤其是MS和AP,因为它们的高换手率(如图表 5所示)。相对于交易成本,波动性相对稳定,这也符合作者的直觉。同样,MV和MW,以及EW和RP,无论交易成本是上升还是下降,由于较低的换手率,它们表现都非常相似。

更有趣的是,作者在图表 7的图E中发现了MS模型的折线。首先作者解释了为什么RP和AP的斜率比MV和MW的斜率要平缓:换手率的差异是一个因素,但图表 6显示前者的最大回撤几乎全发生在2008年,而后者的回撤则跨越了2008年至2012年。因此,后者包括更多的交易成本,因为再平衡期是60天,所以对交易成本更敏感。然后,作者解释了MS的转折点。起初,MS的最大回撤几乎全部发生在2015年,但随着交易成本的增加,最大回撤转移到2008年至2012年期间,MS的斜率变得比MV和MW更陡峭,这就产生了图E中MS的拐点。

{w:100}图表 8通过Newey-West检验说明了交易成本的影响。从A表到F表,作者将交易成本的比例分别设定为0%、0.1%、0.3%、1.0%、1.5% 和3%。作者发现,即使没有交易成本(表A),传统资产配置模型的表现不能显著超过沪深300指数,而EW投资组合则比其他四个传统模型的表现更优。根据表A到表E的最后一列,作者观察到大且显著的调整后的t统计量,证明了作者提出的AP模型更优于其他模型。虽然其显著性随着交易成本的增加而降低,这可以从图表 5中提出的相对较高的换手率中得到证明,但AP模型在不同交易成本的设置中一直占优。相比之下,传统的资产配置模型的表现非常相似,甚至低于市场表现,特别是在交易成本较高的情况下。

{w:100}

再平衡期的影响

图表 9显示了再平衡期H的敏感性分析。图中显示,模型对再平衡期比交易成本更敏感,尤其是MS和AP模型。这个结果可以归因于他们的高换手率,因为更高的换手率将导致对再平衡期的更高敏感性。相反,EW和RP更稳定,因为它们几乎持有相同的资金,不受再平衡期的影响。尽管如此,AP模型在大多数评价指标上仍然优于其他模型,EW和RP模型又非常相似。与图表 5和图表 6所示的结果相比,六个模型的相对排名在大多数情况下几乎没有变化。

{w:100}图表 10分析了不同再平衡期的Newey-West检验结果,其中包括短期、中期和长期再平衡期,即每周、每月、季节性、半年、一年和两年的再平衡期(H分别等于5、20、60、120、250和500)。图表 10显示了与图表 8非常相似的信息,即作者提出的AP模型在大多数情况下都显著优于其他模型,而随着再平衡期的增加,其显著性也在下降。作者还发现,在图表 9中,随着再平衡期的增加,收益率、夏普比率或MPPM出现了下降趋势。这些结果与以往文献中的研究结果是一致的,即基于预测因子的基金或基金组合的能力往往是短暂的(例如,Carhart,1997;Busse等人,2020)。

{w:100}

因子模型回归

在本小节中,作者采用因子模型来分析AP模型的业绩归因和风险调整后的超额收益。这里考虑的因子模型是Fama和French(1993)的三因子模型、Carhart(1997)的四因子模型、Fama和French(2015)五因子模型,以及Fama和French(2018)六因子模型。作者在上述模型的基础上进行时间序列回归,具体模型如下:

{w:100} {w:100}在上述方程中,rp,t是AP模型组合收益率,rf,t是无风险利率,MKTt是沪深300股票市值加权的投资组合相对于无风险利率的超额收益率,SMBt和HMLt分别是规模和价值因子,RMWt和CMAt是盈利能力和投资因子,UMDt是动量因子。所有的因子都是按照Fama和French(2018)构建和计算的。

图表 11显示了上述因子模型下的时间序列回归结果,其中因变量是AP模型组合在不同再平衡期(H分别等于5、20、60、120、250和500)的超额收益。从FF6模型及其嵌套模型中,作者发现共同的结果是AP投资组合对MKT、SMB和UMD的风险敞口显著为正,对HML的风险敞口显著为负,表明该投资组合倾向于持有小市值、成长型和动量股票。它还显示出对RMW的正向敞口和对CMA的负向敞口,显示出它对稳健和积极的股票的偏好,尽管不像其他因子那样显著。对于大部分再平衡期,在不同的因子模型下,alpha估计值均显著为正,即存在由AP模型产生的异常的风险调整后的超额收益,且不能被Fama-French六个因子解释。在实际中非常罕见的两年一次再平衡也表现出了正的alpha,尽管没有那么显著,因为较长的再平衡期一般会降低表现良好的投资组合模型的效果。

\

结论

在本文中,作者提出了一个构建更加平衡的基金组合的能力平价模型,作者将基本的能力衡量标准纳入一个新的优化框架。换句话说,作者通过进一步纳入基金经理的能力来扩展传统的均值-方差框架。能力平价模型在基金经理的选股能力和市场择时能力的贡献之间寻求平衡,它应用了一种新的框架,并扩展了平价的范围和通用性,所提出的模型易于在实际应用中实现。此外,对中国共同基金市场的实证分析证明了作者所提出的能力平价模型的有效性,它相比几个有代表性的经典投资组合选择模型具有明显的优势。敏感性分析进一步证明了作者的实证结果的可靠性和稳健性。

投资者可以进一步考虑在新方法的基础上,用更高阶矩、市场水平和流动性风险等多种因素来定义能力平价,以便更准确地评估基金经理的能力,这为今后的研究留下了空间。尽管作者在本文中以相对简单的方式构建了能力平价模型,但它的表现比传统模型和基准指数都好得多。因此,作者的新模型的有效性在统计上和经济上都是显著的。结果表明,将基金经理的能力纳入投资选择的考虑中并将其作为基石,可以使基金组合的选择受益。

文献来源:

核心内容摘选自Weiyi Liu,Yangyi Liu, Ronghua Luo, Yue Ding在《EmergingMarkets Review》上的论文《Abilityparity model for optimal fund allocation: Evidence from China’s mutual fundmarkets》。

风险提示

本文结论基于历史数据与海外文献进行总结;不构成任何投资建议。

标签

风险平价模型
{link}