研报&论文

“学海拾珠”系列之四十八:信息消化与资产定价

由crisvalentine创建,最终由crisvalentine 被浏览 22 用户

报告摘要

主要观点

本篇是“学海拾珠”系列第四十八篇,本期推荐的海外文献研究了目标公司对其他公司公告和宏观公告的信息消化是否会带来回报溢价。作者用信息消化来代表投资者对这些公告的关注,并通过机构异常关注度(AIA)构建了预期信息消化指标(EIC),EIC=1的公司往往会受到其他公司或宏观公告的“信息溢出”,且获得回报溢价。在A股市场,我们可以用这种类似视角来研究信息消化与资产定价,筛选容易受到“信息溢出”的公司,在市场上其他公司发布公告或是宏观经济发生改变时,这些公司更容易获得回报溢价。

  • 机构异常关注度和预期信息消化(EIC)

​ 机构异常关注度(AIA)反应了机构关注度的峰值,通过比较特定股票前八小时内的平均每小时关注度与前一个月每小时平均关注度来构造一个关注度评分。AIA不仅可以由目标公司的新闻公告等特定事件触发,也可能由非目标公司的新闻公告或与宏观经济有关的信息事件触发。通过AIA来构建预期信息消化指标EIC,例如,当公司A的AIA在过去经常在公司B的公告日上频繁飙升,那么我们定义公司A的EIC_PEER(同类EIC)在公司B的下一个预定事件日等于1。类似的,构造EIC_MICRO(宏观事件EIC)。

  • 基于EIC指标的策略

EIC=1的公司会在其他公司的预定事件日上有显著的回报溢价,同类EIC和宏观事件EIC发现了类似的结论,且不以发布的信息内容为条件。EIC=1可以理解为投资者对目标公司主动的一种信息消化,这种信息消化有非常显著的回报溢价。

  • EIC的回报溢价是基于风险的

当机构投资者被期望消化信息时(EIC=1),CAPM的表现更好。本文发现当EIC=0时,CAPM 的Beta系数不显著,截距项往往是正且显著的,表明CAPM在某些股票中会暂时性失效。而当EIC=1时,CAPM的Beta系数总是正且显著的,截距项很少是显著的,CAPM对这些股票的解释性更好。

风险提示

本文结论基于历史数据、海外文献进行总结;不构成任何投资建议。

\

简介

信息如何被纳入资产价格是金融学中最基本的问题之一。长期以来,人们都认为风险溢价应该在信息得到处理、消除不确定性并促进系统性价格变动的日子里产生(来自Beaver(1968),Kalay和Loewenstein(1985))。然而,尽管这一观点长期以来被认可,但人们对这些风险溢价和CAPM模型在预定信息事件(scheduled informationevents)(如公司盈利发布会,宏观经济公告)中的表现重新产生了兴趣。

根据Savor和Wilson(2016)的观点,对信息溢价的基于风险的解释依赖于这样一个前提:来自公告公布公司的信息传达了关于相关公司的现金流情况和宏观经济。在这种观点下,投资者从新闻中学习并解决一个信号提取问题,以确定公告公布公司的现金流信息实际上有多少是系统性的。如果信息溢出发生了,并且相关公司产生了风险溢价,那么这个溢价应该小于公告公布公司的溢价。

在本文中,我们衡量了当投资者解决信号提取问题时,这种信号的交叉学习对相关公司的资产价格的影响程度。在Savor和Wilson(2016)的研究基础上,我们猜想交叉学习期间获得的风险溢价应该在其精度上单调递增。我们提出了这种类型的信息处理的新衡量指标,以确定公司何时对同行相关公告和宏观经济公告更加敏感。

从经验上看,本文表明单个公司的信息消化经常被同行公司的新闻发布和其它宏观新闻事件所触发,即使该公司本身没有发布新闻(即该公司有一定的异常机构关注(AIA),Ben-Raphael, Da和Israelsen(2017)提出)。这种信息消化可能是公告期间同行公司间交叉学习的一个很好的典例。为了研究这对价格的影响,我们构建了一个名为预期信息消化(EIC)的事前指标。如果一个公司的信息消化在过去同行公司发布新闻或宏观经济公告后频繁飙升,那么当类似事件在未来发生时,EIC应该是正数。

在类似于Engelberg、McLean和Pontiff(2018)发布研究的面板回归中,正的EIC总是与回报溢价有关,在回归中我们加入了预定事件的代理变量,并通过其滞后的每日总回报来加权每个公司。Asparouhova、Bessembinder和Kalcheva(2010,2013)建议采用这种加权最小二乘法(WLS)来减轻资产定价中微观结构噪音的影响。结果在经济层面和统计层面都很有作用。例如,当同行公司发布信息时,日历时间交易策略显示,EIC为正的公司日的日超额收益为7.06个基点,而未受溢出效应影响的公司日为4.60个基点。由此产生的年化夏普比率,正的EIC公司日为1.02,未受溢出效应影响的公司日为0.68。

EIC使我们能够识别更有可能产生重要系统性影响的事件。与之前预定公告日股票收益率较高的研究相比(例如Frazzini和Lamont(2007),Barber等人(2013),Hartzmark和Solomon(2013)),EIC使我们能够描述相关公司的收益率高的前提条件是什么。此外,先前的研究总是探讨基于信息发布而不是信息消化的信息溢出(例如,Hong、Torous和Valkanov(2007),Cohen和Frazzini(2008),以及Menzly和Ozabas(2010))。与这些研究相反,我们的研究是关于一个可预测的回报溢价,它并不取决于所发布的信息是正面还是负面的。

为了进一步阐明这一发现,我们将基于EIC的结果与基于其它同行公司定义的EIC结果进行比较,如基于SIC的行业分类(Fama和French(1997))、基于文本的行业分类(Hoberg和Philips(2010和2016))、新闻中的共同提及(Schwenkler 和Zheng(2019))、相关的交易量(Lo和Wang(2006)以及Cremers和Mei(2007))以及客户-供应商联系(Cohen和Frazzini(2008))。即使在控制了这些其它定义后,EIC也是有意义的。此外,虽然根据其它定义,正的EIC公司有时也被认定为同行,但EIC公司的溢价比单独使用其它定义的公司要高。

当宏观经济事件出现时,EIC也与溢价有关。在宏观经济公告日,EIC股票的回报率比其他股票高6.61个基点。在FOMC公告日,这一差异增加到13.70个基点。虽然重要的市场风险溢价与宏观经济公告有关(Savor和Wilson(2013)),我们表明,股票对公告的反应有很大的不同。EIC衡量指标确定了最容易受到影响的股票:更多来自周期性行业(能源、信息技术和非必选消费品)的股票,以及更多来自大规模的公司、具有更高Beta值的公司和杠杆更高的公司,毫无疑问,这些公司对宏观公告更敏感,因此有较高的溢价。

接下来研究观察到的回报率是否与基于风险的解释一致。我们发现,即使在控制了预定公司的特定信息事件之后,在EIC为正的日子里,这些公司的CAPM beta大约高5%。此外,我们发现,在机构投资者被期望消化信息的日子里,CAPM表现更好。最后,子样本分析表明,在我们预期信息溢出更强的子组中,我们的结论得到了更有利的证明。

我们也证实了Savor和Wilson(2014)的结论,即CAPM在有重要宏观经济公告的那些日子效果更好,尽管我们发现这一结果是以信息消化为条件的。总体而言,在有FOMC公告的日子里,估计的市场风险溢价约为 11个基点。然而,估计的CAPM风险溢价对于EIC为正的股票是44个基点,而对于EIC为零的股票在统计上是不明显的。

虽然我们的证据一直支持基于风险的解释,但我们也研究了我们发现的其它解释。一种可能的解释是价格压力,即与EIC相关的较高的平均回报可能只是反映了最终将恢复的过渡性价格压力,而不是获得了永久的风险溢价。我们使用日历时间的交易组合方法来测试这个猜想,它避免了事件的聚集。如果价格压力能解释我们的结果,任何最初的压力都应该预测未来的反转。我们发现在第一个月内没有反转,而我们在一个月后发现的小幅反转并不显著或稳健。然而,由于我们研究的是一个相对较短的样本期,我们不能完全排除这种解释,因为我们不能排除长期的反转现象。

另一种可能的解释是基于错误的定价:与企业所得税相关的较高的平均回报可能反映了对错误定价的纠正,而不是风险溢价。然而,这种解释需要一种不对称性,即定价过低会得到纠正,但由于卖空限制,定价过高会持续存在。另外,根据这种解释,我们预计在定价正确的股票中不会看到任何结果。为了评估这种解释,我们使用Stambaugh, Yu, and Yuan (2012)的错误定价得分指标(MISP)。我们在数据中没有发现支持这种解释的证据。特别是,根据 MISP指标,错误定价的股票和正确定价的股票的EIC系数非常相似。

我们注意到无法区分我们所确定的回报率溢价是基于理性的还是基于行为的(Kozak、Nagel和Santosh(2018))。其他替代解释可能包括投资者注意力有限(Frazzini和Lamont(2007),Hirshleifer,Lim和Teoh(2009),对投资者预期的理性忽视和偏见(Linnainmaa和Zhang(2019))。尽管如此,本研究提供的令人信服的证据表明,当投资者处理公告并更新他们对受影响公司和整体经济的看法时,就会获得风险溢价。

本文的其余部分组织如下。在第二节中,我们描述了我们对信息消化和产生的原始指标,并概述了我们对信息消化的事前预期测度的构造。在第三节中,我们分析了我们的EIC指标与回报率的关系,我们提供了与基于风险的解释相一致的额外证据,并讨论了其他解释。第四节是结论。

\

信息消化指标

信息消化和原始指标

彭博提供了对彭博终端上的新闻阅读和新闻搜索活动的转化指标。大多数彭博终端用户是机构投资者,他们有动力和财力对公司的重要新闻做出快速反应(Ben-Raphael,Da, and Israelsen (2017))。基于数据的可用性,我们使用了2010年2月到2017年12月间的样本。遵循Da,Engelberg, and Gao (2011)的做法, 我们对样本期间出现在罗素3000指数的所有股票开始筛选,然后我们要求样本中的股票满足以下条件:(1)在彭博终端和谷歌搜索引擎上的新闻搜索和新闻阅读活动的数值没有缺失;(2)在证券价格研究中心(CRSP)数据库中的股票代码为10或11;(3)在上个月末的股票价格大于或等于5美元;(4)账面信息没有缺失。过滤这些条件后,我们得到一个包括3,188只股票和4,046,190个日间股票观测值的样本。

机构异常关注度(AIA):我们的主要信息消化指标捕捉了机构关注度的事后峰值(Ben-Raphael,Da, and Israelsen (2017))。彭博记录了终端用户主动搜索或阅读特定股票的新闻文章的次数,我们更加关注对特定公司信息的主动需求,因此当用户搜索新闻时,赋予10分,当用户只是阅读新闻文章时,赋予1分。彭博将这些数字汇总为每小时的计数,并通过比较前八小时内的平均每小时计数与前一个月同一股票的所有每小时计数来构造一个关注度评分。如果滚动平均数低于前30 天每小时计数的80%,在80%至90%之间,在90%至94%之间,在94%至96%之间,或大于 96%,则分别为它们赋予0、1、2、3或4的分数。然后,将这些分数汇总到每天的频率,取一个最大的全天所有小时得分。利用这个日常衡量指标,我们遵循Ben-Raphael,Da, and Israelsen (2017),如果彭博的日最高值为3或4,就将虚拟变量AIA设为1,否则为0。这个虚拟变量表明,当宏观事件冲击来临时,该公司是获得了高机构关注度还是低机构关注度。

异常的谷歌搜索量指数(DADSVI):我们对信息消化的第二个衡量指标是捕捉散户投资者的事后关注高峰。正如Da,Engelberg, and Gao (2011)所描述的,散户注意力是用每日谷歌搜索量指数(DSVI)来衡量的。我们通过取DSVI 与前一个月DSVI平均值之比的自然对数来计算异常DSVI(ADSVI)。为了便于与股票的 AIA 进行比较,我们创建了一个虚拟变量版本的ADSVI:对于每一天,我们用公司过去30个交易日的DSVI值来分配一个0、1、2、3或4的分数。对于每一天,如果得分是3或4,DADSVI被设置为1,否则为0。与散户信息消化有关的衡量指标被列为控制变量;我们发现这些控制变量没有任何系统性影响。

信息事件(Information Events):我们对预定事件的三个代理变量是基于收益公告、其他预定的公司事件和宏观经济公告来构建的。为了便于与AIA和DADSVI进行比较,我们构建了一个虚拟变量,当公司公布其收益公告时等于1,否则等于0,记为EDAY。我们从I/B/E/S中获得收益公告公布日期。

我们的样本包含2010年至2017年期间的163,865个预定事件。彭博将每个事件分为九个类别中的一个。最常见的类别——占所有事件的43%——是“电视/会议/演讲”,它主要包括投资者会议,但也包括预先安排的新闻发布会。接下来两个最常见的类别是“收益公告发布”和“收益电话”,分别占事件的36%和30%,这些活动通常被安排在同一天(它们占活动总数的37%)。接下来的两个最常见的类别是“股东大会”和“企业访问”,分别占所有事件的12%和6%。其余4%的事件属于“兼并和收购”、“销售结果”、“分析师营销”和“盈利指导”等类别。我们构建了虚拟变量SEDAY和NESEDAY来表示预定事件日和非盈利的预定事件日(所以 SEDAY=EDAY+ NESEDAY,即预定事件日包括盈利公告预定事件日和非盈利公告预定事件日)。

我们还涵盖了几个基于重要的宏观经济新闻公告日衡量指标。由于几乎每天都有宏观经济公告,我们仅研究那些在彭博终端上吸引机构投资者最多关注的公告,即与非农就业(NFP)、生产者价格指数(PPI)、联邦公开市场委员会利率决定(FOMC)、美国国内生产总值(GDP)的“提前”预测和美国供应管理协会制造业指数 (ISM)有关的公告、公告日期和时间都来自于彭博。对于这五项公告中的每一项,我们创建了虚拟变量,在公告日等于1,在其他日子等于0。除了这五个单独的虚拟变量之外,我们还构建了虚拟变量MACRO,在五个虚拟变量中至少有一个等于1的日子里,将其设为1,否则为0。

最后,从RavenPack获得样本股票的新闻报道。将NDAY定义为一个虚拟变量,如果在某一天道琼斯新闻网上有关于该公司的新闻报道,则该变量等于1,否则等于0。因为想把盈利公告与其他新闻区分开来,所以把盈利公告日的NDAY设为零。我们同样构建虚拟变量USNDAY来表示未提前预定的新闻日。

对于每个公司,我们计算同一(Fama-French 48)行业中其他公司的NDAY 和EDAY的价值加权平均数,分别用FF48_NDAY和FF48_EDAY表示。同样地,我们创建了AGG_NDAY和AGG_EDAY这两个变量,以获取某一天样本中所有公司的NDAY和EDAY的市值加权平均数。

根据表一,在我们的样本中,平均有7.59%的交易日会经历来自机构投资者的信息消化冲击。散户投资者的信息消化冲击的平均频率与此类似,为7.64%。

{w:100}关于预定发生的公司事件,每年平均有四个盈利公告日(EDAY),占所有交易日的 1.5%。其他非盈利公告的预定事件(NESEDAY)发生的频率更高,约占所有交易日的2.4%。而所有的非盈利新闻事件(NDAY),对于我们样本中的公司来说,平均五天中大约有一天是新闻日。公司的平均(中位数)规模约为62亿美元(11亿美元)。平均来说,某只股票每天有价值5110万美元的交易。最后,我们样本中的平均(中位)日回报率为9.44(7.26)个基点。

为了研究机构信息消化的驱动因素,表二显示了Logit面板回归的结果,其中我们将AIA与公司、行业和宏观经济层面的信息供应变量进行回归。我们加入每周一天的虚拟变量来捕捉关注度的季节性(DellaVigna和Pollet(2009),Liu 和 Peng(2015),以及Ben-Rephael,Da和Israelsen(2017))。其他控制变量包括公司特征,如绝对收益、规模、账面市值、公司β和杠杆。

{w:100}结果表明,在公司层面新闻较多的时期,机构投资者更有可能消费某只股票的信息,特别是当事件是预先安排的时候。然而,结果也表明,由于其他公司的信息溢出效应,对某一特定公司的信息消化上升。行业层面的新闻,尤其是竞争对手发布的盈利公告,与更多的机构投资者的信息消化相关。这是直观的,因为一个行业的公司的盈利新闻可能对该行业的其他公司有重要影响。此外,当市场上有更多关于大公司的消息时,机构对单个股票的信息消化更有可能是高的。关于大公司的新闻可能对其他股票有系统性的影响,即使这些公司是在不同的行业。

为了研究宏观经济新闻的影响,列(5)、(7)和(9)包括了MACRO虚拟变量。一般来说,即使控制了其他公司、行业和市场层面的事件,机构对个股的信息消化往往与宏观经济公告相吻合。在所有五个宏观经济公告中,FOMC利率公告似乎吸引了最多的关注(列(6)和(8))。在我们控制了公司特征和绝对收益后,宏观经济公告的回归系数会减弱(列(9)和(10))。请注意,我们并不期望宏观公告以类似的方式影响所有公司。下面,我们探讨宏观公告对相关股票的影响。总而言之,AIA不仅可以由公司的特定事件触发,也可以由与其他公司和宏观经济有关的信息事件触发。这些观察促使我们根据投资者在过去对各种事件的反应来构建 EIC的衡量指标。

预期信息消化(EIC)

​ 为了将信息消化与资产定价结果联系起来,我们构建了几个机构信息消化(EIC)和散户信息消化(ERIC)的事前衡量指标。所有的衡量指标都是虚拟变量,如果预期的消费频率超过了某个阈值,则取值为1,否则为0。表三报告了EIC指标的汇总统计。

{w:100}我们对预期机构信息消化的第一个衡量指标是基于其他公司的预定事件的信息溢出(EIC_PEER)。如果公司A的AIA在过去经常在公司 B的预定事件上飙升,我们预测公司A的EIC在公司B的下一个预定事件日等于1。这种EIC指标在经验上是一种新的衡量标准。

例如,Savor和Wilson(2016)将正的盈利公告窗口回报归因于风险溢价,因为公司A的盈利公告会影响其他公司,因此盈利公告具有系统性。他们的模型也预测了当天受影响公司的风险溢价,但迄今为止的文献还没有直接检验这一预测。我们的EIC_PEER衡量指标填补了这一空白。

表三第 (1) 列报告了以EIC_PEER=1或0为条件的观察数和AIA=1的百分比。EIC_PEER=1子样本的AIA=1的百分比约为 24.1%,比随机抽取AIA=1 的可能性大三倍以上。在EIC_PEER=0的情况下,AIA=1的百分比只有 9.1%左右。频率上的差异具有统计学意义,表明EIC_PEER能很好地预测事后AIA,这是由于同行公司预定事件的信息溢出。

我们对预期机构信息消化的第二个衡量指标是基于FOMC公告日的信息溢出(EIC_FOMC)。如果公司A的AIA在之前的FOMC公告期间经常飙升,我们可以预测公司A的EIC在下一次FOMC公告时为1。以前的文献主要关注FOMC公告前后的市场风险溢价,而在我们的分析中,我们考虑的是横截面的维度。由于不是所有的股票都受到同样的影响,EIC_FOMC确定了那些FOMC公告期间更有可能与风险溢价相关的股票。我们还使用了表二中定义的所有五个宏观事件来构建第三个测度(EIC_MACRO),用以研究信息溢出在宏观公告日的影响。

表三的第(2)列和第(3)列报告了以EIC_FOMC和EIC_MACRO等于1或0为条件的AIA=1观察值的数量和百分比。有59(334)个FOMC(宏观)公告日,在126223(715928)个公司公告日的样本中,有11159(18377)个 EIC_FOMC=1 (EIC_MACRO=1)观察值。EIC_FOMC=1(EIC_MACRO=1)的AIA=1观测值的百分比约为25.6%(30.9%)。相比之下,在 EIC_FOMC=0(EIC_MACRO=0)的情况下, AIA=1的观察值的百分比约为 8.4%(7.5%)。

最后,我们构建了一个基于所有三类EIC(EIC_ALL)的整体溢出衡量测度,它汇总了EIC_PEER、EIC_FOMC和EIC_MACRO。表三的第(4)列显示了以EIC_ALL=1或0为条件的观察值和AIA=1案例的百分比。我们能够确定270,054个EIC_ALL=1的观察值(来自4,046,091个观察值的完整样本)。准确率(或 AIA=1的百分比在EIC_ALL=1的情况下)超过 24%,明显高于 EIC_ALL=0 的情况下的 6.7%左右的对应值。

总而言之,我们的各种EIC衡量指标与最近的文献直接相关,这些文献发现在预定的信息事件日股票回报率较高。这类事件的例子包括公司层面的收益公告(Frazzini和Lamont(2007),Barberet等(2013)),公司层面的股息公告(Hartzmark和Solomon(2013)和宏观公告(Savor和Wilso(2013)),以及其它公告。我们在几个重要的维度上扩展了这些文献,并增加了新的见解。首先,我们的EIC溢出指标能够确定观察那些更有可能产生重要的系统性影响的事件,因为它们的目的是捕捉来自预定公告的主动信息消化。其次,更重要的是,这使我们能够直接研究信息溢出。虽然现有的文献集中在公告公司的回报溢价上,但我们研究的是受公告影响的其他公司的回报溢价。我们还为宏观经济公告增加了一个重要的横向维度,即事先确定那些股票更有可能被影响。

最后,虽然我们不是第一个探讨信息溢出的人(例如Hong, Torous, and Valkanov (2007),Cohen and Frazzini (2008), and Menzly and Ozabas(2010)),但我们的EIC测度允许我们研究信息消化而非信息发布。此外,我们的结果显示了一个可预测的回报溢价,它不以发布的信息的内容为条件。

EIC=1股票的特征

在表四中,我们探讨了EIC=1的股票的特征。与表二类似,我们进行Logit 面板回归,EIC_PEER、EIC_FOMC和EIC_MACRO是因变量。表四的A组研究了EIC_PEER。在我们的基本配置中,我们加入了Fama-French48个行业和市场水平的价值加权的SEDAY变量,剔除了目标公司。接下来,我们囊括了基于各种替代同行测度的额外SEDAY变量。正如预期的那样,列(1)到(3)表明,行业和市场的预定事件都能解释EIC_PEER 的预测峰值。然而,请注意,当我们比较基于市场的衡量标准和基于行业的衡量标准时,我们发现基于市场的衡量标准更具有经济显著性(系数为4.623,vs行业系数0.927)。这表明,企业从市场上主要企业的预定事件中学习,即使它们属于不同的行业。

{w:100}在列(4)至(10)中,我们探讨了来自另一种定义的同行公司的预定事件的额外贡献。列(4)到(6)反映了EIC_PEER对公司三个最接近的同行的预定事件的反应,这些同行是基于Fama-French48行业分类、全球行业分类标准(GICS2)行业以及Hoberg和Phillips(2010,2016)的基于文本的相似度得分(TINC3)来归类的。Hoberg和Phillips的指标似乎贡献最大,其系数为0.235。接下来,因为之前的文献发现,交易量具有系统性的影响(Lo和 Wang(2006)以及Cremers和Mei(2007))。因此,在列(7)中,我们用异常交易量代替 AIA,并构建一个类似的预期异常交易量指标(EAVOL),EAVOL根据过去相关的交易量峰值来预测信息溢出。有趣的是,EAVOL似乎具有经济意义,其系数为1.635,这可能是因为交易量经常随着信息消化而飙升。在列(8)中,我们加入一个共同新闻的衡量标准(Schwenkler和Zheng (2019)),将同行公司识别为在同一新闻文章中提到的公司。该变量的影响是显著的,其系数为0.324。最后,我们研究了共享供应商-客户联系的“关联”公司(Cohen和Frazzini(2008))。我们发现来自这些“有联系的”公司的预定事件并没有以显著的方式触发EIC_PEER。

虽然EIC_PEER与备选定义的同行公司的预定事件有关,但那些对经济有很大影响力的公司的预定事件(由AGG_SEDAY捕获)似乎更为重要。这一结果加强了我们的结论,即 EIC_PEER捕捉到了系统性的信息消化。

{w:100}在B组,我们分析了FOMC和宏观经济公告。我们使用GICS2行业分类,并包括行业虚拟变量。我们使用“日用必需品”作为我们的基础(排除)行业。我们发现,受影响的股票往往来自于周期性较强的行业(能源、信息技术和非必选消费行业)。我们还发现,这些行业市值往往比较大,而且拥有较高的betas和杠杆。这些行业的股票受宏观经济公告中的信息影响最大,也许并不奇怪。重要的是,我们的EIC测度(EIC_FOMC和EIC_MACRO)使我们能够独特地识别这种信息溢出效应。

\

EIC 和资产价格

回报溢价

我们现在测试有EIC的公司日是否与回报溢价有关。为此,在表五中,我对每日股票收益率与各种EIC指标进行了面板回归,加入了预定的公司信息事件、预期的散户信息消化(ERIC)、来自替代定义的同行公司的预定事件以及其他控制因素,包括LnSize、LnBM、10个滞后期收益、收益的平方、新闻虚拟变量以及交易量。此外,还包括日固定效应,标准差按公司和日期进行分组。最后,为了修正可能的微观结构偏差,我们遵循Asparouhova、Bessembinder和Kalcheva(2010,2013)的做法,采用了WLS修正程序,即用滞后的总回报作为每个观察值的权重。为了保持一致性,我们在其余的分析中采用了相同的加权方案。

{w:100}首先,在表六的多列中,显著的回报溢价似乎与公司的收益公告(EDAY)有关,与Engelberg、McLean和Pontiff(2018)的结果以及收益公告溢价的存在(Frazzini 和 Lamont(2007),Barber等人(2013),Savor和Wilson(2016))一致。然而,当我们分析FOMC公告和宏观经济事件(MACRO)时,盈利公告溢价不存在或仅有轻微的显著。第二,其他(未发布盈利公告)的公司在预定事件日有经济上显著的回报溢价。这一发现是新的,因为这些公司计划事件以前没有被系统地研究过。第三,ERIC的系数较小且不明显,可能是因为散户投资者在消化信息时有延迟,而此时市场上有很大一部分不确定性已经被解决。

接下来探讨与EIC变量相关的风险溢价大小,在列(1)至(7)我们发现EIC_PEER相关的稳健溢价在2.1-2.3个基点之间。EIC_PEER的系数比预定事件的系数小,有两个原因。首先,虽然预定事件是事先知道的,但EIC_PEER的估计是有误差的,而且这种错误会导致衰减偏差。更重要的是,Savor和Wilson(2016)的模型预测,公告公司的溢价最高,因为这些公司对公告中的信息接触最多。最后,我们注意到EIC_PEER的频率是EDAY的7倍,是NESEDAY的4倍,所以EIC_PEER对回报率溢价的累积贡献与预定公告的贡献基本相当。

根据Savor和Wilso(2016)的研究,我们预测经历信息溢出的公司会有正的风险溢价。我们进一步预测,EIC公司与其他同行公司相比,风险溢价更高。通过自我表露的偏好,EIC企业与宣布的企业有更多的联系。此外,EIC捕捉到了主动的信息消化,这提高了交叉学习的精确性,并产生了更高的风险溢价。列(3)到(7)证实了这些预测。特别是,我们发现 EAVOL 的系数几乎为零。即使是FF48_SEDAY,这个指标的一个标准差的增加也与0.47个基点的高收益有关。

在列(8)至(11)中,我们估计了与我们的EIC_FOMC和EIC_MACRO指标相关的溢价。与传递系统信息的宏观经济公告一致,我们发现EIC_FOMC(EIC_MACRO)与11.235(7.187)个基点的额外溢价相关。与表五B组一致,EIC的衡量标准确定了受宏观经济信息影响最大的公司会获得更高的溢价。最后,在列(12)到(14)中,我们研究了EIC_ALL,它结合了所有三个衡量标准。估计的溢价在3.6到3.8个基点。

交易策略

在表七中,我们使用日历时间的交易策略来研究回报溢价的大小。交易策略是可以实施的,因为EIC指标的构建只使用历史信息。这使得我们可以计算出与各种EIC指标相关的超额收益和夏普比率。

{w:100}表七探讨了基于公司预定事件的日历时间组合。我们的分析区分了四种类型的公司。公布的公司,EIC公司,其他同行公司,和不相关的公司(基准)。因此,在A组中,我们构建了在每个事件日有四个相应的不重叠的组合。第一个组合包括宣布事件的公司,或有预定事件的公司(列(1))。第二个组合包括EIC同行公司,或EIC_PEER=1的公司(列(2))。第三个组合包括其他同行公司,即与公告者处于同一行业的其他公司,EIC_PEER=0(列(3))。最后一个组合是基准组合,其中包括所有除去以上公司的其他公司(列(4))。

与表六的结果一致,我们发现与这些投资组合相关的平均每日超额收益(相对于无风险利率)从10.28个基点(宣布的公司)单调地减少到4.6个基点(基准)。风险调整后的收益也相应减少。特别是EIC_PEER组合的Fama-French 五因素(Daniel等人(1997,DGTW))风险调整后的回报率为2.0(1.7)个基点。投资组合的年化夏普比率为1.02,比基准投资组合的夏普比率增加了近 50%。EIC_PEER组合的回报率和夏普比率与其他同行公司相比也很好。换句话说,积极的信息消化确实与较高的溢价有关,在经济上是有意义的。

{w:100}接下来,在B组中,我们探讨与宏观经济公告相关的日历时间投资组合,其中感兴趣的投资组合是基于EIC_FOMC=1和EIC_MACRO=1的组合。基准投资组合是基于EIC_FOMC=0和EIC_MACRO=0的组合。与回归分析一致,我们发现EIC=1的投资组合相关的显著回报率,这几乎是EIC=0的投资组合相关的两倍。此外, EIC_FOMC=1(EIC_MACRO=1)组合相关的年化夏普比率比其基准高出102%(58.5%)。最后,虽然EIC=1投资组合的风险调整后的回报率在4.6到8.9个基点之间,但EIC=0投资组合的风险调整后的回报率约为零。

对基于风险的解释的支持

在本小节中,我们进一步探讨了我们的EIC指标、CAPMβ和CAPM在不同子样本中的表现之间的关系。表九显示了结果,这些结果支持我们观察到的,对回报率前提的基于风险的解释。

在表九中,我们研究了在有EIC、ERIC或其他预定公司事件的日子里,系统性风险是否更高。考虑到交易量的系统性影响,我们也将 EAVOL作为一个对照。我们用模型的变化来估计CAPM的β,其中ERET是股票收益率减去无风险利率(单位:基点),MKTRF是市场收益率减去无风险利率(单位:基点),EIC是基于EIC_ALL的。遵循Patton和Verardo(2012),每个回归中都包含了股票的固定效应,这使我们能够捕捉到公司内部的β值估计。考虑到这是一个公司内部的分析,而且大部分的溢出观测值都是从2011 年4月开始的,我们从2011年4月开始进行β测试。结果在表九报告。

{w:100} {w:100}表九的前5列报告了面板回归的系数,分别控制了五个信息消化的变量。第一列表明,在EIC=1的日子里,CAPM的beta值比没有EIC的日子高 0.047左右。第二列显示,在ERIC=1的日子里,CAPM的beta值没有明显变化。列(3)和(4)考察了预定事件和收益公告对beta的影响。与Patton和Verardo(2012)的观点一致,在有盈利公告的日子里,beta值高出约0.14。其他预定的公司级新闻事件使beta值增加0.061。我们还发现EAVOL 的系数为0.041。最后,列(6)和(7)包括所有五个变量以及市场回报。EIC的影响只比单变量回归时略小EIC日的beta值增加支持基于风险的解释,即这些日子的平均收益较高。

{w:100}接下来,我们转向 CAPM的测试。Savor和Wilson(2014)表明,CAPM在宏观经济公告日(FOMC、失业率和通货膨胀公布日)表现良好,而在其他日子则失败。本着同样的考虑,我们根据EIC的值来划分股票日,并进行测试。每天,我们对超额股票收益与CAPM的beta值进行横截面回归。表十研究了这些Fama-MacBeth(1973)回归系数的时间序列平均值。

EIC的各种衡量指标描绘了一幅一致的画面,即当机构投资者被期望消化信息时,CAPM在股票日的表现更好。当EIC=0时,CAPM 的斜率系数从来都不显著,而截距项往往是正的和显著的,这与CAPM在描述平均收益横截面变化方面的失效是一致的。相反,当EIC=1时,CAPM的斜率系数总是正的,而且是显著的,截距项很少是显著的。EIC=1的风险溢价估计值从8.17到43.85个基点不等,并且总是明显高于EIC=0时。

例如,对于列(4)中的组合EIC(EIC_ALL),当机构投资者被期望消化信息时,CAPM表现良好,风险溢价估计值为9.71个基点,截距项接近零,不显著。相反,当EIC_ALL=0时,CAPM失效了,风险溢价估计值接近零,截距项显著为正,为6.71个基点。EIC=1的风险溢价约为10个基点,这与表一中的样本统计和表六中记录的风险溢价的额外增加是一致的。请注意,5%左右的贝塔系数的增加远远低于EIC=1相对于EIC=0 的回报率的增加,后者约为 40%。这表明,这不仅是风险数量的增加,也是每单位风险的补偿。我们的投资组合(见表七)与这一观点一致,EIC=1的股票的夏普比率比EIC=0的股票高50%左右。

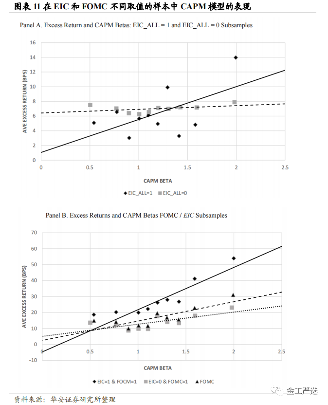
{w:100}图表十一的A组用图形说明了CAPM的结果。每天,在EIC_ALL=1和EIC_ALL=0的子样本中,我们根据它们的CAPM Beta将股票分为十等分组合,这些Beta是在过去252个交易日中使用所有股票的相同十等分分位点估算的。图表十一的A 组绘制了两个子样本的平均投资组合日超额收益(相对无风险利率的超额)与它们的平均 CAPM Beta的对比。该图证实了CAPM在EIC_ALL=1的股票中效果更好。当机构投资者的平均超额收益与CAPM Beta之间存在正相关关系时,就会出现这种情况。预计投资者会消化信息。在EIC_ALL=0的股票中,这种关系不明显。

表十中的列(2)侧重于FOMC公告中值得关注的日子。Savor 和Wilson (2014)发现CAPM在这些天表现良好。我们发现他们的结果受到 EIC的影响。在FOMC公布日,CAPM只在机构投资者预计会消化信息的股票子集中运行良好。对于这些股票,CAPM回归产生了43.85个基点的重要风险溢价估计。对于其余的股票,风险溢价估计值仍然很小而且不明显。图表十一的B组以图形方式说明了FOMC的结果。我们观察到在FOMC公布日,EIC=1的股票的平均超额收益和CAPM贝塔之间的正向关系最强。在这些日期,EIC=0的股票的平均超额收益和CAPM贝塔之间的关系要弱得多。类似的模式也适用于更广泛的宏观经济公告和EIC_ALL,如列(3)和(4)中报告的那样。

{w:100}最后,在表十二中我们考虑了我们数据中的四个子样本。前两个是基于公司的特征:公司在Fama-French 48行业中的相对规模和覆盖该公司的分析师数量。我们假设,在其他情况下,一个行业中较小的公司和分析师覆盖率较低的公司应该对其他公司传播的信息做出更多的反应。第二个子样本的公司是根据信息发布的时间来选择的。具体来说,我们探讨了10-K和10-Q报告季度之间的差异以及盈利周期上半场和下半场之间的差异。在其他条件不变的情况下,我们假设在10-K和盈利周期前半段发布的信息与在10-Q和盈利周期后半段发布的信息相比,应该更具有实质性和信息性。因此,10-K 季度的信息消化和盈利周期前半段的信息消化应该获得更高的风险溢价。具体来说,表十二报告了使用EIC_ALL的所有四个子样本的风险溢价和CAPM的回归斜率。与之前的分析一样,风险溢价在统计上是显著的,而CAPM 在EIC_ALL=1时表现良好。各个子样本之间的差异在经济上是显著的,似乎与我们的猜想一致。当EIC=1时,较小的公司和那些分析师覆盖率较低的公司有较高的风险溢价,其CAPM斜率也较陡峭。对于10-K季度和在盈利周期前半段报告的公司来说,情况似乎也是这样的。

其他解释

综上所述,我们的证据与基于风险的解释是一致的。然而,对我们的发现还有其他的解释。在本小节中,我们探讨了两种替代解释:价格压力和错误定价。表十三报告了结果。我们首先研究价格压力的作用。与EIC相关的较高的平均回报率可能是过渡性的,随后会回落。表十三的A组从组合形成后的第1个交易日到第 90 个交易日,对EIC_ALL组合的日历时间组合分析进行了扩展。我们报告了基于Fama-French五因素模型和基于DGTW特征调整的累积风险调整收益的结果。

{w:100}无论使用何种风险调整方法,p值都很大。虽然收益率的估计值在-2到6个基点之间,但其标准误差要大得多,这使人们对这一分析的可靠推断产生了怀疑。尽管如此,短期的异常回报没有显示出立即逆转的迹象。长期分析确实在第40至60天左右产生了负的点估计值,但它们在统计学上与零没有区别,这种迹象也没有随着时间的推移变得稳健,它们在第90天时又变成了正值。然而,虽然我们没有找到回报逆转的有力证据,但我们承认我们不能完全排除这种可能性,因为我们相对较短的样本期可能使我们无法记录长期的统计意义上的逆转。诚然,我们承认在排除价格压力的解释方面,我们的实证研究有其局限性。

接下来,我们探讨一种潜在的错误定价的解释,即与EIC相关的较高的平均回报反映了对错误定价的修正,而不是风险溢价。表十三的B组使用Stambaugh,Yu, and Yuan (2012)的错误定价指标(MISP)扩展了表五的分析。我们将样本与MISP指标相匹配,并根据MISP得分将股票分为四个四分位数。错误定价的股票(Mispriced)是MISP值处于最高和最低四分位数的股票。非错误定价的股票(Non-Mispriced)是指MISP值处于中间四分位数(第2和第3分位数)的股票。我们发现,这两组股票的回报率几乎相同,相关的回报溢价分别为3.63和3.64 个基点。如果MISP反映了股票的相对错误定价,并且错误定价在EIC上得到了纠正,那么这个证据表明错误定价不太可能解释我们的结果。

总而言之,我们发现,虽然不能完全排除价格压力、错误定价和其他潜在的替代解释,但我们基于事前衡量、平均回报、Bata值和CAPM表现的结果共同为基于风险的解释提供了强有力的支持。

\

结论

了解信息消化和资产定价之间的关系从根本上来说是很重要的。最近的证据表明,系统性信息的预定到达与风险溢价有关(Savor和Wilson(2013,2014, 2016))。我们表明,这种预定的公告也会对经历信息溢出的公司产生回报溢价。利用机构投资者的新闻搜索和新闻阅读活动,我们构建了在这种信息溢出期间,当预定的同行公司或宏观经济公告发生时,对单个公司的预期信息消化(EIC)的新指标。

我们证实,EIC与较高的平均回报率有关,CAPM在信息消化预期较高的日子里对个别股票表现良好,EIC似乎调节了FOMC公告对资产价格的影响(Savor和Wilson,(2014))。综上所述,这些证据支持对回报率溢价的基于风险的解释。

本文核心内容摘选自AZI BEN-REPHAEL, BRUCE I. CARLIN, ZHI DA, &RYAND. ISRAELSEN在《Journal of Finance》上发表的论文《Information Consumption and Asset Pricing》

\

风险提示

本文结论基于历史数据、海外文献进行总结;不构成任何投资建议。

标签

资产定价资产定价模型
{link}