研报&论文

“学海拾珠”系列之一百:因子动量与动量因子

由small_q创建,最终由small_q 被浏览 97 用户

报告摘要

主要观点

本篇是“学海拾珠”系列第一百篇,文献研究了因子动量与动量因子之间存在的一些联系。股票动量效应长期以来违背了有效市场假说,而较新的一些文献也发现,动量在股票异象因子中也广泛存在,构造因子动量策略可以获得显著优于基准的回报。文献发现,因子收益的正向自协方差是因子动量收益的重要组成部分,并且在股票动量收益中起着关键作用。因子收益的时间序列自相关完全包含了个股收益的横截面动量。回到A股市场,可以研究A股的异象因子的收益变化在影响横截面股票动量方面发挥的作用,通过监测因子动量从另一个角度跟踪动量因子的强弱,避免动量崩溃。

因子的时间序列动量策略与横截面动量策略

动量效应在横截面的股票价格异象(price anomalies)中普遍存在。例如,如果小盘股在过去一年中的表现优于大盘股,那么它们未来更有可能继续跑赢大盘。即在时间序列上,价格异象过去的收益率中有关于异象在未来如何表现的信息。由此构造时间序列动量策略 (a time-series momentum strategy,TS)。此外,对比两种异象因子,如果买入小盘股并做空大盘股的策略在过去的回报优于买入价值型股票并做空成长型股票的策略,这种影响也往往会持续下去。即在横截面对比各种因子时,过去表现得更好的因子在未来倾向于表现更好,由此构造横截面动量策略 (a cross-sectional momentum strategy,XS) 。这两种因子动量策略都可以获得可观的回报。

因子动量的来源

对因子动量收益的分解表明,XS和TS策略的大部分收益都来自于因子收益的正的自协方差,且大部分可以归因于空头组的正自协方差。异象的空头组表现出持续的过高定价,这一发现可能与卖空限制(Miller, 1977))的广泛影响有关。

因子动量与动量因子

因子回报的时序自相关可能诱发动量崩溃。分析表明,当因子回报中正自相关增强时,动量因子表现出色,而当负自相关出现时,可能诱发动量崩溃。当用TS复合时间序列因子解释按股票动量排序的十分组回报时,与最初的UMD因子相比,TS提供了更好的解释。因子收益的时间序列自相关完全解释了个股收益的横截面动量。

简介

股票的动量效应违反了有效市场假说。如果信息被立即反应到资产价格中,则过去的回报不能预测未来的回报。传统定价模型无法解释动量策略的回报,过去研究中,风险、贸易摩擦、行为金融学都试图对动量效应作出解释,但远未得出结论。

动量效应在横截面的价格异象(price anomalies)中普遍存在。在时间序列上,价格异象过去的收益率中有关于异象在未来如何表现的信息。例如,如果小盘股在过去一年中的表现优于大盘股,那么它们未来更有可能继续跑赢大盘。时间序列动量策略 (a time-series momentum strategy,TS)使用因子作为测试资产,其收益在经济和统计上是显著的,衰减缓慢,且不会反转。在横截面中,在各种异象之间,过去表现得更好的异象在未来倾向于表现更好。例如,如果买入小盘股并做空大盘股的策略在过去的回报大于买入价值型股票并做空成长型股票的策略,这种影响也往往会持续下去。横截面动量策略 (a cross-sectional momentum strategy,XS)根据因子相对于其他异象的表现进行投资,从而获得可观的回报。

在1963年至2015年期间,TS策略投资于前期收益为正的因子,其复合总收益为22.52(每月0.52%)。XS策略投资于优于平均表现的因子,总收益为35.13(每月0.60%)。相比之下,在所有因子上等权投资的被动基准策略的总回报率为7.35(每月0.35%)。使用TS或XS策略的年化回报-波动率之比提高0.25个单位以上。Lo和MacKinlay(1990)对因子动量收益的分析分解表明,XS和TS策略的大部分收益都来自于因子收益的正的自协方差,超过了交叉方差或因子收益的无条件协方差。投资组合的分解进一步表明,这些收益大部分可以归因于空头组的正自协方差。异象的空头组表现出持续的过高定价,这一发现可能与对某种类型的全市场新闻反应不足以及限制套利(Shleifer和Vishny, 1997),例如卖空限制(Miller, 1977))的广泛影响有关。

Barroso和Santa Clara(2015)以及Daniel和Moskowitz(2016)发现,动量崩溃是股票动量因子收益负偏度和尖峰的主要来源。文献表明,因子回报的时序自相关可以以同样的方式诱发动量崩溃。分析表明,当因子回报中正自相关增强时,动量因子表现出色,而当负自相关出现时,可能诱发动量崩溃。

文献用时间序列因子扩充了Fama和French(1993)的三因子模型,以解释按股票动量排序的十分组回报。与最初的Carhart(1997)因子相比,TS复合因子对按动量排序的投资组合的平均回报提供了更好的解释(根据Gibbons等人(1989)对模型截距的联合显著性检验得到)。这一结果扩展了Grundy和Martin(2001)的研究,即常见风险因子解释了动量因子的回报波动。

数据

首先对 22 种定价异象进行分析,使用每月数据进行测试。17 个异象数据来自 Kenneth French 网站,4 个来自 AQR 数据库,流动性数据来自 Lubos Pastor 和 Robert Stambaugh 的网站。 如果某个因子的收益数据不易获得,就自行使用投资组合数据来计算因子收益。表 1 展示了各异象平均每月回报情况,最小是的Global Size因子,为 0.03% ,最大为Global BAB因子,为0.84%。 每月回报的标准差最小为 1.40%(Global RMW),最大为 4.24%(US UMD)。

图片{w:100}

因子动量

本节检验过去因子收益在时间序列和横截面上的可预测性。研究结果为后续检验因子动量来源以及因子动量与动量因子之间的关系提供了基础。

时间序列与横截面测试

首先,采用 Moskowitz 等人的方法(2012),将因子收益对其滞后因子收益进行混合回归,以测试时间序列的可预测性。

图片{w:100}

图片{w:100}图片{w:100}分别是t和t-k时刻因子f 的收益。本文对所有异象样本以及美国和全球异象的两个子样本进行回归(滞后的时间为k=1,2,…,24)。标准差按时间聚类,系数乘以100以简化解释。表 2的面板 A 中的结果显示,滞后一阶时,有显著的收益连续现象,本月每增加一个百分点,下个月的因子回报将增加 11.82 个基点。滞后的时间越长,系数会越小,但滞后 11 和 12 的系数再次增加。有一些证据表明在十二个月滞后之后立即出现部分反转。

接下来,运行 Fama 和 MacBeth (1973) 回归来检验因子回报的横截面可预测性。对于每个滞后、每个月,进行 Fama 和 MacBeth (1973)的横截面回归(形式如下),并记录斜率系数的每月估计值:

图片{w:100}

然后测试第一步估计的斜率系数 ( 图片{w:100}) 的时间序列平均值。平均斜率及其对应的 t 统计量确定滞后 k 是否与横截面中的未来因子收益有关。表 2 的 B 组显示了结果。横截面回归的所有平均斜率系数直到第 16 个滞后期都是正的。滞后等于或小于 12 的 t 统计量中超过一半大于 2。实证检验接下来的部分研究了t - 12 个月和 t - 1 个月之间的平均因子表现对后续收益的影响。

图片{w:100}

上述结果是通过测试不同滞后对横截面和资产池中所有异象未来回报的影响而获得的。 接下来,本文通过运行两个单变量收益预测回归来对每个单独的异象进行时间序列分析。 第一个模型使用过去十二个月的平均回报作为自变量:

图片{w:100}

图表3的左侧列总结了与该模型相关的结果。过去收益(r-T)的大部分系数为正,其中 11 个在 5% 的统计水平上显著。在第二组测试中,如果过去的回报为正,用于收益回归的二元变量等于1,否则等于0。因此,二元变量的系数代表了高于零回报的样本一年之后的月份与剩余月份之间平均回报的差异。该回归的截距衡量在表现不佳之后的时间段内获得的平均因子回报。表 3 的右侧列显示了相同的结论。除美国动量因子外,所有斜率系数均为正,并且9 个异象都在0.05的显著性水平上拒绝了没有动量相关收益差异的原假设。更有趣的是,有8个异象截距为负,即这8 个异象在一年表现不佳后获得了负溢价。最后一行报告了将所有因素汇总在一起的回归估计值。截距仅为 4 个基点,斜率系数为 51 个基点,t-stat 为 4.40。

图表3中报告的预测回归结果更清楚地说明了图表2 的结果。自协方差是异象回报的驱动因素。

图片{w:100}

时间序列与横截面动量策略

为分析与因子动量相关的溢价,本文构造了将因子用作测试资产的动量策略。在以下测试中,股票动量因子(UMD U.S. 和 UMD global)被排除在外,以避免策略回报与股票动量因子之间的相关性。

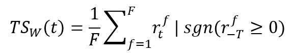
时间序列动量策略以过去因子回报高于或低于零为划分条件,分别构造赢家时间序列策略和输家时间序列策略。

赢家时间序列策略对这过去 12 个月表现优于零的因子等权配置,是t-12到t-1月之间f因子的平年均收益。

图片{w:100}

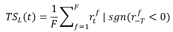
输家时间序列策略对这过去 12 个月中表现低于零的因子等权配置:

图片{w:100}

复合时间序列策略(TS),做多赢家,做空输家。举个例子,如果过去SMB因子(小盘股-大盘股因子)表现大于0,则加入SMB因子,如果过去BMS因子(大盘股-小盘股因子)表现大于0,则加入BMS因子。

图片{w:100}

横截面动量策略是以过去因子回报相对于横截面平均水平的高低为划分条件。分别构造赢家横截面策略和输家横截面策略。

赢家横截面策略对过去12个月回报高于所有因子平均回报率的因子等权配置。

图片{w:100}

输家横截面策略对过去12个月回报不如平均回报率的因子等权配置。

图片{w:100}

复合横截面策略(XS),做多赢家,做空输家。

图片{w:100}

将以上策略的表现与基准(被动等权投资于各因子)进行比较:

图片{w:100}

图表4报告了上述策略的收益特征。投资于过去收益低于0的因子的策略(TSL)获得的回报最低(0.02%),而波动率最高(1.84%)。投资于过去收益高于0的因子的策略(TSW),在波动率较低的情况下,超额收益为50个基点,且收益/波动比最高,该策略比被动策略高17个基点,在1%的水平上显著(t-stat=4.44)。复合时间序列策略(TS)与被动基准的收益风险相似,TSL的偏度最高,TSW和TS策略的偏度接近于零。

横截面策略的表现排名与时间序列策略一致。XSW的回报率最高,夏普比率高于XS。XSL仅获得11个基点的收益。

图片{w:100}

图表5展示了每种策略与基准策略在样本期间的表现。TSL策略的总收益基本接近零,TSW的总收益是被动基准的3倍。虽然XSW策略的收益最高,但XS策略的收益低于TS策略。因此,做空那些表现低于其他因子的因子会使业绩变糟,因为平均而言,收益大于零但表现相对较差的因子下个月仍将获得正回报。

图片{w:100}

图表4的Panel B展示了采用不同回顾和持有期的XS策略的情况。从表中可以看出,与个股的短期反转效应不同,横截面动量在回顾和持有期{1,1}的一个月里表现最为强劲。该策略的溢价为0.31%,t-stat为5.98,然而,短期策略的收益迅速下降,以至于两个月持有策略{1,2}收益变得极低。回顾期较长时,虽然最初收益较低,但在中等持有期内仍有收益。

图表4的Panel C显示,{回顾期,持有期}为{1,1}时,TS策略的收益最高,溢价为0.36 (t-stat=6.65),其次是{12,1}策略。对于所有的时间序列策略,尽管它们在不同的范围内都很稳健,但当持有一个月时收益最高。这是由于较长持仓期的自相关性较小。

接下来,使用分解方法研究了在{回顾期,持有期}为{12,1}时,XS和TS策略的收益来源。

因子动量收益分解:因子层面分析

‍使用Lo 和 MacKinlay(1990)的方法来检查因子动量的潜在来源。用 图片{w:100}表示因子f 的过去收益, 图片{w:100}为 t 月的收益, 图片{w:100}为所有因子过去收益的横截面平均值。交易因子 f 这一策略的相对表现收益可以表示为:

图片{w:100}

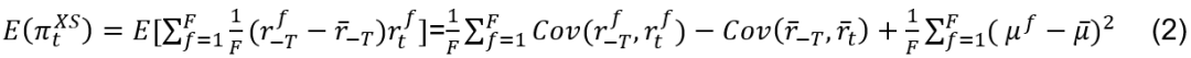
图片{w:100}是在t月内投资于因子f的权重。在过去 T 个月内表现优于其他的因子往往在时间 t 的投资组合中具有更大的权重。用 图片{w:100}表示因子 f 的无条件预期收益。对公式 1 中所有 F 因子的横截面策略进行平均并采用预期会产生以下结果:

图片{w:100}

如果横截面动量在因子收益的横截面中占主导地位,则该恒等式应获得正溢价。 用矩阵符号重写公式2,可以分离出动量收益的三个来源:

图片{w:100}

Tr(.)是矩阵对角线上的元素之和(矩阵的迹)。 图片{w:100}是因子收益的第T阶自协方差矩阵, 图片{w:100}是平均因子收益的横截面方差。

公式3中的表示将横截面动量收益与回报的自协方差(过去的高回报预示未来的高回报)、负交叉协方差(一个因子的高回报表明其他因子的低回报)和平均回报的横截面方差分开。

在 1964 年至 2015 年的样本期间,公式3中的线性横截面策略的平均月收益率为 0.21%,t 统计量为 3.49。图表6标记为“XS”的列计算了每个组成部分对策略溢价的净贡献。自协方差项平均贡献 0.24%,超过所有其他部分。

图片{w:100}

与基于相对表现的 XS 策略不同,TS策略考虑每个单独因子的绝对表现。TS 策略更多地依赖因子自相关,因为假设它可能同时做空或做多所有因子,而 XS 策略本质上是多头和空头头寸的平衡组合。为了对 TS 收益进行分析分解,遵循 Lewellen (2002) 和 Moskowitz 等人的方法(2012 年):考虑仅根据资产过去收益进行投资的策略的特征。该时间序列策略的预期收益可以分解如下:

图片{w:100}

公式4表明TS 收益源于因子回报自相关和比较大的平均回报。 在样本期间,该策略产生了 0.41% 的月度收益,t统计量为4.65。图表6的“TS”列中的结果表明,大部分溢价来自因子收益的自相关。 相对于 XS ,TS能有更好表现的原因是TS没有负的交叉协方差。总而言之,自相关是 XS 和 TS 动量策略在因子收益横截面中的主要收益来源。

3.4 因子动量收益分解:投资组合层面分析

异象因子的收益溢价通常由零成本投资组合的回报来捕捉,该投资组合是按公司特征排序的,做多特征为“高”的投资组合,做空特征为“低”的投资组合。  图片{w:100}表示因子 f 的多头(“高”), 图片{w:100}表示空头(“低”)。本文可以通过将 图片{w:100}替换为 图片{w:100}来扩展公式4,以探究多头和空头投资组合在产生时间序列动量中的作用:

图片{w:100}

公式5将时间序列策略的收益分解为三个主要来源:多头/空头回报的正自相关; 多头和空头之间存在负的“领先-滞后”关系(过去多头的高回报意味着未来空头的低回报);多头和空头投资组合的平均收益差。

图表7的Panel C 报告了多头和空头投资组合的自协方差和交叉协方差的详细信息。第一行 [Cov(rHf−T, rHft)] 显示多头投资组合的自相关系数有正的也有负的,正净贡献为 0.08。下一行显示空头投资组合自相关全是正的。空头投资组合的持续高估现象与 Miller (1977) 的想法一致,他认为卖空约束可能导致高估现象比低估更普遍。第三行显示了过去空头组合回报与多头组合未来回报的关系。该行的平均值为零。因此,第一行和第三行表明,很难说明过去收益或空头组合收益能对未来多头组合进行预测。第四行显示了多头组合的过去回报与空头组合的未来回报之间的关系。该行中的大多数值为负数,其平均值为 -0.13,因此,对策略的溢价做出了积极贡献

图表7的Panel D 报告每一行的净贡献(平均值)。TS 收益的 35 个基点来自空头收益的正自协方差。多头和空头投资组合的回报之间的负领先滞后关系是另一个主要因素,为 13 个基点。大约四分之一的 TS 收益可归因于平均回报之间的差异。总而言之,TS 收益主要由空头组合的自相关驱动。

图片{w:100}

因子动量与动量因子

本节研究了因子自协方差和Carhart(1997)的横截面股票动量因子之间关系的各个方面。

框架

资产收益的多因子模型,如罗斯的套利定价理论(1976)表明,有几种风险来源会影响预期收益。考虑一个资产超额收益的线性因子模型:

其中t表示时间下标,是股票s的超额收益,是公共因子f的收益,是资产s在因子f上的因子负载或因子贝塔,在没有套利的情况下不应获得风险溢价的资产特定收益部分。横截面动量策略的收益代表了基于股票相对于平均表现的投资收益,可以用恒等式表示:

其中为股票收益,为等权指数的收益。用表示股票s获得的无条件预期回报。将公式7中的线性价格应用到公式8中,并假设因子和特定的回报成分不表现出任何“领先-滞后”关系,股票s的横截面动量策略的预期收益等于:

因此,在N只股票的横截面中,平均股票的动量策略的预期收益为:

其中F和N分别是因子和股票的数量,是投资组合载荷的横截面方差。

横截面股票动量策略的收益可以分解为四个部分。第一部分为正的因子自协方差,贝塔的横截面变化加剧了这种影响。第二部分为因子之间的“领先-滞后”关系。如果两个因子之间的交叉协方差和它们贝塔之间的协方差有相同的符号,动量回报更高。假设Fama和French(2015)五因子模型作为价格生成过程。附录的推导过程证明了自协方差主导了交叉协方差,因此,本文的其余部分将忽略第二项。以往的研究表明,后两个组成部分在产生动量收益中发挥着重要作用。Grundy和Martin(2001)认为,投资于过去收益的策略的盈利能力是残差中动量的反映,这意味着第三项应该是正的。Blitz等人(2011)表明,使用相对于Fama-French三因素模型的残差作为排序变量的过去残差动量策略在总回报动量策略中占主导地位。Conrad和Kaul(1998)认为,单个证券平均收益的横截面变化是动量收益的另一个重要来源。

一个从理论上推导出的可检验预测是:自协方差是股票动量策略回报所固有的。 因此,这部分的测试旨在检验股票动量策略指标、Carhart (1997) 的动量因子(以下称为 UMD)和因子自协方差之间的时间序列关系。在第 t 个月,一个因子的自协方差条件收益等于,这里的下标 -T 代表 t-12 到t-2 之间的平均收益,最近一年不包括最近一个月。如果等式 10 中的第一项与动量收益有关,则自协方差条件因子应与 UMD 收益的时间序列相关。为了比较,本文还报告了原始因子回报和 UMD 回报之间的相关性。

图表8显示了结果。原始因子回报与 UMD 之间的相关性似乎是随机的,其中许多甚至是负的。第二列中的系数(条件 ρ)明显更大。最后一行比较了 UMD 与对所有因子进行等权投资的策略之间的相关系数,以及 UMD 与所有异象自协方差回报的相关系数。UMD与等权因子收益相关性很低,但与TS 策略高度相关(ρ = 0.66)。 这种差异的 Z-stat 是所有变化中最大的。最后一行的结果表明,这里研究的部分或大部分因子汇总了股票层面的动量因子,因此,股票动量因子不一定完全归因于于公司新闻或其他公司层面的摩擦。

图片{w:100}

动量崩溃

股票动量策略收益分布表现为负偏和尖峰,与严重尾部风险相关。本节说明动量崩溃与因子自协方差的时变特征相关、并且与许多因子回报的负自相关激增同时发生。

回到公式10 中的框架,在总体水平构造了第一项的指数。

图片{w:100}

其中 图片{w:100}是因子 f 在时间 t 和从t - 12 到 t - 2 滞后11个月之间的平均自相关性, 图片{w:100} 是个股波动率的横截面方差乘以它们与因子 f 的相关性。图 10 中的第一个图显示了该指数的时间序列。为了清晰起见,单独绘制了 UMD回报。指数变化较小的时期与 UMD 的较低波动性相吻合;当指数波动时,UMD 回报会变得极端。 自相关指数以 0.68 的相关系数密切模拟 UMD的回报。

接着将样本分为指数值大于零的“正自相关”月份和“负自相关”月份。图表10中的第一个图表显示了 UMD 因子在这两个分类中的密度函数。UMD 回报在正自相关月份的变化范围较小,如实线所示,大部分集中在正回报,月回报的均值、方差、偏度和峰度分别为 2.42%、3.20%、0.80和7.94。从风险规避角度来看,正自协方差月份 UMD 回报的分布特征是非常可取的。与负自协方差月份相关的回报分布(由虚线表示)具有更长的左尾。此分布的均值、方差、偏度和峰度分别为 -1.69%、4.43%、-2.53和16.60。图表10中的第二个图表显示了自相关如何影响动量。总指数增加一个标准差(0.76 个单位), UMD 回报增加 2.87% ,并且效果非常显著(t = 22.44)。因此得出结论,负自相关似乎是导致 UMD 因子不具有吸引力的原因。当因子显示趋势反转时,UMD 表现不佳,并且当多个因子同时经历如此剧烈的冲击时,UMD会崩溃。

图片{w:100}

图片{w:100}

解释动量因子投资组合的回报

本节主要研究,与股票动量因子 (UMD) 相比,由各种异象的条件收益组成的复合因子在描述按动量排序的投资组合时解释超额收益的能力。本文对因子模型的相对表现感兴趣,使用它们在每个投资组合上产生的截距和 Gibbons 等人关于alpha 的联合显著性测试进行评估。

为了判断每个模型提供的改进,使用CAPM 对按动量排序的十分位投资组合进行定价。与 Jegadeesh 和Titman (1993) 的结果一致,动量效应在图表11中很明显。截距随着投资组合排名而单调增加,并且对于极端投资组合具有统计显著性,而贝塔没有表现出单调模式。对冲投资组合(即多头-空头)对市场投资组合有负载荷,截距为 148 个基点,t-stat 为5.26。 平均绝对截距为每年 25 个基点或 3%,GRS检测中,α 联合显著性的的F-value为 5.59。

图片{w:100}

下一个Panel显示了在 Fama 和French (1993) 的三因子模型上用 Carhart (1997) 因子增强的动量排序投资组合的时间序列检验结果,仅展示了与截距和 UMD因子相关的统计数据,与 CAPM 相比,该模型无法解释的预期回报估计值都较低,这是意料之中的,因为动量因子与此处通过构造的投资组合有关。平均绝对截距是 12 个基点,不到 CAPM 截距值的一半。 GRS F-value低得多,为 3.72。做多第10组并做空第1组的投资组合的截距大幅降低至 34 个基点,尽管 t-stat 为 3.01 仍具有统计显著性。

接着将 UMD替换为上文所述的复合 TS 因子。TS 因子的负载具有统计显著性,并且在投资组合排名中单调增加,在10%和90%分位数之间产生 3.88 个单位的巨大差异。更有趣的是,该模型比四因子模型更能适应十分位投资组合,如较小的平均绝对截距(0.11% 对比 0.12%)和 GRS F-value(3.23 对比 3.72)。该模型对大多数投资组合产生较小的截距。与 Carhart 模型相比,多空投资组合的截距大 8 个基点,但其t-stat 小很多。由 R2 测量的回报变化比例在 0.79 到0.88 之间,低于 Carhart 四因子模型产生的比例。

表的最后一部分显示了两个单变量回归的结果。第一个回归测试 TS 因子是否可以用 Carhart 的 UMD 因子解释。TS 的 2/3 的回报溢价无法用UMD解释。相比之下,TS 因子可以解释 UMD 因子的所有溢价,并提供了-0.06 的微小alpha。得出结论,TS 因子包含与 UMD 因子一样多的信息,因此才能产生以上投资组合结果。

结论

本文首先表明,正的自协方差是异象和因子回报的普遍特征。它是在异象收益的横截面、交叉协方差和平均因子收益的横截面中产生显著动量收益的关键组成部分。持有过去具有正回报的异象因子的策略明显优于等权持有所有异象因子。与股票动量不同,因子动量在 1 个月的形成和持有期间最强。因子动量策略的因子自协方差和收益主要由空头收益的正自协方差驱动,空头的持续高估似乎最符合套利卖空限制,通过结合过去的异象收益,可以显著增强异象收益的可预测性。

几乎所有具有正自协方差的异象因子都与股票动量相关。因此,由过去条件收益异象组成的复合因子解释了股票动量因子的溢价,并在解释按动量排序的十分位投资组合方面提供了不错的结果。股票动量收益在很大程度上反映了许多共同因子的自协方差积累。

对股票动量收益的分析表明,复合的因子自相关指数影响动量收益的各种特征。 为了解释股票动量收益的理想特征,未来的研究需要确定因子收益正自协方差的潜在来源,这实质上是由空头收益的正自协方差引起的。

文献来源

核心内容摘选自Sina Ehsani, Juhani Linnainmaa在《Journal of Finance》的论文《Factor Momentum and the Momentum Factor》。

风险提示

文献结论基于历史数据与海外文献进行总结;不构成任何投资建议。

标签

动量因子有效市场假说
{link}