研报&论文

“学海拾珠”系列之二十五:度量beta风险新视角:盈利beta因子

由crisvalentine创建,最终由crisvalentine 被浏览 48 用户

报告摘要

主要观点

本篇是“学海拾珠”系列第二十五篇。作者通过构建盈利beta衡量横截面收益中的系统性风险,并应用于资产定价研究领域中。

  • 现金流量与系统性风险直接相关

由于基于收益率的市场beta无法有效解释横截面收益,最近的一些研究尝试检验现金流beta。大多数研究通过对数线性化收益方程,或对数线性化净盈余来估计现金流类的基本面指标。考虑到在公司层面上收益率与盈利之间存在正相关关系,作者将净利润视为基本面的汇总性度量指标。

  • 盈利beta的解释能力对盈利序列的构造方式较为敏感

盈利beta的解释能力对用来估算beta的盈利序列的构造方式较为敏感:盈利 beta优于市场beta;基于盈利变化的盈利beta优于基于绝对盈利水平的beta;基于预期盈利的beta优于基于实际盈利的beta;基于预期盈利变化的beta优于基于预期绝对盈利水平的beta;基于股价标准化的盈利序列的beta优于基于账面价值标准化的盈利序列的beta。

  • 盈利beta的表现与盈利beta和公司特征之间的关系具有一定关联

将12个beta与不同的公司特征进行回归时,除了按股价标准化的预期冲击beta以外,所有其他beta的回归系数中均至少有一个与预期符号相反。定价测试中表现最好的盈利beta(即按股价标准化的预期冲击beta),其和公司特征的实际关系与预测关系的一致性也最高,以上结果表明,该盈利beta能够较为有效地来衡量系统性风险。

风险提示

本文结论基于历史数据与海外文献进行总结;不构成任何投资建议。

\

简介

横截面收益中包含着系统性风险。对于资产定价而言,寻找能够度量这种系统性风险的指标是一个重要的研究方向。由于市场beta无法有效解释横截面收益,最近有较多的研究围绕现金流beta展开,由于现金流beta考虑到的是现金流这一类基本面指标与系统性风险之间的直接关联,因此有较强的理论逻辑支撑。大多数研究按照Campbell和Shiller(1988)的对数线性化收益方程,或按照Vuolteenaho(2002)的对数线性化净盈余来估计现金流基本面指标。然而,这两种构建beta的方法在实际应用时有一定的困难。考虑到在公司层面,收益率与盈利之间存在正相关关系,作者将净利润视为基本面的度量指标。作者使用不同指标标准化下的实际和预期盈利的度量指标来构建简单的盈利beta,并实证检验了它们在解释投资组合层面和公司层面的横截面收益时的相对表现。作者还研究了beta系数的不同度量与几种公司特征之间的关系(这些特征在理论上与系统性风险相关或在实证中与收益相关)以评估所构造的不同盈利beta的有效性。

本文使用两种实证方法来估计现金流beta。第一种方法遵循Campbell(1991),将Campbell和Shiller(1988)的对数线性收益框架与向量自回归(VAR)模型相结合,将总收益率分解为总折现率冲击和总现金流量冲击。总折现率冲击是直接估算的,但总现金流量冲击则用VAR模型的残差来衡量。然后,使用实际收益率和从VAR模型中提取的总现金流量冲击这两个变量之间的联动性来估算现金流beta(Campbell和Vuolteenaho 2004;Bansal等人2005;Hansen等人2008;Campbell等人2010)。然而,Chen和Zhao(2009)认为VAR方法存在问题,因为折现率冲击的度量误差会保留到现金流量冲击当中。他们发现Campbell和Vuolteenaho(2004)的研究结果对VAR模型中包含的变量较为敏感,并且对于不同的子样本来说,结果不具备稳健性。另一方面,Chang和Savickas(2014)得到了与Campbell和Vuolteenaho(2004)不一样的结果,他们将此归因于折现率冲击与现金流量冲击之间的高度相关性。

第二种方法遵循Vuolteenaho(2002)的方法,对净盈余进行对数线性化,并将Campbell and Shiller(1988)框架中的现金流量冲击部分替换为无限期的ROE对数之和,然后使用ROE与总ROE之间的联动性来估算现金流beta(Da 2009;Da和Warachka 2009;Nekrasov和Shroff 2009;Cohen等人2009;Campbell等人2010)。但是,基于对数线性化净盈余的beta可能很难构建,因为它们需要预测无期限时长范围内ROE的变化,例如,Da and Warachka(2009)的盈利beta是基于三阶段收入增长模型估算的ROE得到的,该模型需要对多个阶段的增长率进行假设。此外,Penman(2016)指出,Vuolteenaho(2002)模型的某些假设可能存在问题,Penman和Zhang(2020)指出,由于偏保守的会计处理,ROE可能与预期盈利负相关。

接下来,作者采用一种不同的方法来构建盈利beta,并检验它们在解释收益在横截面上的波动的能力。具体来说,作者使用11种不同的盈利序列来估算盈利Beta,其中包括:


  1. 过去12个月的实际盈利或分析师对未来12个月的盈利预期;
  2. 盈利水平或盈利变化(比如增长);
  3. 三种对盈利进行标准化的方法,包括上一期盈利、所有者权益的账面价值或所有者权益的市场价值;
  4. 分析师对盈利长期增长率的预期。每个盈利序列都与在市场层面类似的盈利序列进行过去5年的滚动回归,以估算出不同时间点上的盈利beta。通过解释未来一个月的实际盈利(作为预期盈利的代理变量),作者评估了这些盈利beta的横截面相对定价表现。

作者首先在投资组合层面进行定价测试。作者分别使用11个盈利序列来估算50个投资组合的盈利beta,这些投资组合是根据先前资产定价文献中常用的5个特征构建的(每个特征构建了10个组合),这5个特征包括:规模、B/P、E/P、资产增长率和长期收益反转,这些特征能够解释市场beta无法解释的收益。之后,作者测试了哪些盈利beta可以解释这50个投资组合的市值加权月度收益率的横截面变化。

在1981-2017年期间,作者发现11个盈利beta中有6个在横截面收益中具有正的且显著的风险溢价,而市场beta的风险溢价始终不呈显著性。基于预期盈利的盈利beta要比基于实际盈利的盈利beta表现更好,并且基于实际或预期的盈利变化的盈利beta要优于基于实际或预期的绝对盈利水平的盈利beta。值得一提的是,作者发现基于预期盈利变化的盈利beta(按股价标准化的预期冲击beta)可以很好地解释横截面收益,可以解释50个投资组合41.9%的市值加权月度超额收益波动。相反,基于绝对盈利水平的盈利beta(例如实际ROE或预期ROE)并没有显示出足够稳健的显著性。总体而言,作者还发现盈利beta的表现受到盈利序列的构造方法的影响较大

作者还将1981-2017年期间分为两个子样本来进行样本外测试。作者分别估算每个子样本的盈利beta,并检查一个子样本的beta是否可以解释另一个子样本的市值加权月度收益的横截面变化。与全样本定价测试一致,作者发现按股价标准化的预期冲击beta优于其他beta,并较为稳定地解释了11.8%至26.7%的横截面收益率波动。

鉴于Lewellen等人(2010)对使用有限的投资组合来进行资产定价测试提出过质疑,作者使用Giglio和Xiu(2019)提出的三步回归定价测试法(three-passregression pricing tests)来评估结果的稳健性。作者发现11个盈利beta中有6个具有正的且显著的风险溢价。与投资组合定价测试一致,基于预期盈利的盈利beta优于基于实际盈利的盈利beta,基于盈利变化的盈利beta优于基于绝对盈利水平的盈利beta。作者还发现,按股价标准化的预期冲击beta是表现最佳的beta之一。

接下来,作者每个月根据各种盈利beta来对公司进行排序,并做多盈利beta高的公司,做空盈利beta低的公司来构建投资组合。如果收益率中的系统性风险被盈利beta解释,作者预期这些按盈利beta分组的投资组合的收益会有所不同。作者发现,按股价标准化的预期冲击beta所构建的因子模拟投资组合的市值加权月度超额收益最高,为0.72%,在对Fama和French(2015年)五因子和Carhart(1997)的动量因子进行风险调整后,其alpha值为0.49%。另外,该投资组合中市场因子、规模因子和价值因子所显示出的正向且显著的超额收益表明,这些因子解释了收益中部分的系统性风险。

随后,作者在公司层面进行分析。作者使用两阶段横截面回归,发现11个盈利beta中有4个可以将公司层面收益的横截面变化逐步解释为标准定价测试中使用的特征(即规模、B/P、短期反转和动量)。与投资组合层面的结果类似,基于预期盈利的盈利beta要优于基于实际盈利的盈利beta,按股价标准化的预期冲击beta能够持续性地带来正向且显著的风险溢价。作者的推论在控制Kelly等人(2019)和Freyberger等(2020)提出的36个公司特征后具备稳健性。总体而言,作者从各种定价测试得出的结论是,基于预期盈利,尤其是基于预期盈利的变化构建的盈利beta的表现较好

最后,作者对11个盈利beta与公司特征之间的关系进行了全面的描述。这么做的主要动机是关注具有以下特点的特征:


  1. 在理论上与系统性风险相关;
  2. 在实证中与收益相关;
  3. 反映了源自企业运营和融资活动的基本面风险;
  4. 反映了保守会计准则下如何将不确定性纳入收入和开支的确认和度量中。

因此,作者选择了一组变量,包括规模、盈利能力、杠杆率、波动性、增长和投资,并依靠现有文献对它们与盈利beta的关联进行了预测。作者发现规模较小、盈利能力较低、具有较高财务和运营杠杆的公司往往具有较高的盈利beta。此外,E/P和B/P与多个盈利beta呈正相关,这表明这些特征可以解释收益,因为它们间接解释了系统性风险。在这11个盈利beta中,按股价标准化的预期冲击beta与这些特征的相关性方向的一致性是最高的,说明该盈利beta能够作为系统性风险的一种有效度量指标。

本文为有关(1)现金流量beta,(2)会计beta和(3)解释收益的特征的文献做出了贡献。作者证明了使用股价标准化的预期冲击的盈利beta能够稳定地解释横截面收益,这些beta较之对数线性化收益或对数线性化净盈余的方法更容易构建,对于需要系统性风险度量指标的研究人员而言,本文构建的beta是一个合适的选择。作者也为会计beta的研究做出了贡献。过去的文献表明,基于CAPM的市场beta和会计beta之间存在正相关关系(Ball和Brown 1969; Beaver等人1970; Pettit和Westerfield 1972;Gonedes 1973; Beaver和Manegold 1975)。但是,由于市场beta无法解释收益的波动,因此这种正向关系并不是对会计beta定价能力的直接检验。通过考察盈利中的系统性风险是否体现在横截面收益中,作者对早期文献进行了补充。本文研究所得出的盈利在评估系统性风险中的作用也与Savor和Wilson(2016)的发现是一致的,即公司层面的现金流消息与市场层面的现金流量消息之间的协方差在盈利公告期附近会不断上升。

最后,本文为研究公司特征对收益的预测能力的文献做出了贡献,这些特征包括:规模、B/P、E/P、盈利能力、投资、动量、杠杆率、应计额、流动性和股权期限等。本文在很大程度上间接提及了这些变量可能解释的不可分散的风险。例如,最近的实证研究表明,B/P可以解释部分的收益,这是因为它与更高的未来盈利增长呈正相关(例如,Penman和Reggiani 2013;Penman等2018;Ellahie等2020)。作者为这些特征能够解释收益提供了另一种解释:它们间接解释了盈利中的系统性风险。

\

使用盈利来度量系统性风险

系统性风险指的是资产收益受到整体经济冲击影响的剧烈程度,这种风险是无法靠资产多样性分散的。衡量资产系统性风险的经典方法是使用历史信息来估计资产的收益率如何与指数的收益率(如总市场投资组合,即市场beta)共同变化。但是,之前的文献多次表明收益率和市场beta之间的关联性不强,有时甚至存在负相关的关系,尤其是在1963年之后的研究(Fama和French 1992;Cochrane 2011; Frazzzini和Pedersen 2014)。

在本文中,作者不使用收益率,而是使用净利润来估算beta。净利润体现了由会计准则所衡量的公司的周期性表现,并且在估值中起着至关重要的作用,这主要是出于以下两个原因:首先,会计中的一个关键假设是,盈利有助于权益的账面价值的增长。由于许多研究都将权益的市场价值与权益的账面价值联系起来,因此净利润对估值而言是相当重要的。其次,一种常见的相对估值方法是根据不同公司的P/E来进行比较。此外,Easton和Harris(1991)指出,盈利水平和盈利变化都与收益率成正比,收益率与盈利之间的这种正向关系表明盈利可以解释系统性风险。更好地了解盈利对衡量系统性风险的有效性,可以帮助投资者更准确地估算预期收益。

最近的研究通过对收益方程对数线性化或对净盈余对数线性化来估计现金流beta。但是,这些beta通常难以构建,需要在无期限的时间范围上预测盈利,并且还存在潜在的挑战(Penman,2016)。在本文中,作者使用各种短期的净利润指标来估算盈利beta,利用短期盈利可大大简化用于估计盈利beta的盈利序列的构建。作者考虑了11种不同的盈利序列,将盈利水平、盈利增长、实际盈利和预期盈利与三种标准化方法结合起来。

盈利的度量

作者考虑的前两个盈利序列基于实际盈利水平。由于不同公司的规模差异导致无法直接比较各公司的盈利水平,因此作者首先进行标准化,如用权益的账面价值(比如实际ROE)和权益的市场价值(即实际市盈率)。此外,为了消除季节性影响,作者对最近四个季度的实际盈利进行累计计算。

然而,我们在横截面上仍难以进行比较,其中一个原因是保守会计准则估计会对研发和广告的不确定性投入产生扭曲效应(Penman 1991;Penman和Zhang 2002)。因此,作者还根据实际盈利变化考虑了三种度量指标。尽管对不确定性投资的保守估计会影响盈利水平的度量,但它对盈利变化(即增长)的度量的影响并不大。此外,盈利增长能够揭示更多有关盈利产生过程的信息,从而使我们能更好地估计预期盈利,而盈利增长的方向和大小也包含着关于盈利加速和减速的信息。

计算盈利增长时,最常用的标准化方法是采用上一期盈利。不过,由于公司层面的盈利通常为负,因此计算出的增长率并非总是具有实际意义。因此,作者使用以下方法计算了公司i在时间t的收入增长:

{w:100}该度量指标解决了分母为负的问题,值介于–2和+2之间。当仅使用非负的上一期盈利来进行标准化时,其实这与传统的盈利增长率的计算是紧密相关的。为了进一步规避分母中上一期盈利为负的问题,作者还考虑了两种替代方法,即使用上一期权益的账面价值(即按账面价值标准化的实际盈利增长)和上一期权益的市场价值(即按市值标准化的实际盈利增长)来对实际盈利增长进行标准化。

使用实际盈利的一个明显缺陷是,过去的盈利所包含的有关预期盈利的信息并不完整,因此包含的有关预期收益的信息也可能不完整。而参考分析师对未来盈利的预期可能会有所帮助。此外,如果要估算出预期收益,估算前瞻性beta就很重要,使用期望比较适合来估计前瞻性beta。I/B/E/S分析师的预测数据是月频的,而实际盈利则是季频的,因此分析师预测似乎可以提供更有效的beta估算值。但需要权衡的是,分析师预测仅覆盖了部分公司,覆盖度不及实际盈利数据。

使用分析师预测也会带来其他一些问题,包括滞后的数据更正和行为偏差,例如,许多先前的实证研究都表明分析师预测过于乐观。此外,Richardson等人(2004年)还发现了不可信的分析师预测:一年中分析师对预期盈利的调整是可以预期的,分析师似乎是按照某种既定模式进行调整。因此,为了增强横截面上的可比性并降低使用不可信的分析师预测的影响,作者使用了恒定的预测时间范围,即未来12个月的盈利预测。

具体来说,对于每个公司i,在每月t,作者对I/B/E/S的年度文件中原始的未来一年(F1)和未来两年(F2)的EPS预测数据进行时间加权平均,以此来构建未来12月的盈利预测(F12),期间使用CRSP调整因子对EPS预测进行分拆调整。之后,作者计算了未来12个月的收入预测:

{w:100}作者还根据预期盈利的月度变化构建了三个盈利序列。跟踪预期盈利随时间的变化可以了解预期盈利变化的模式,并且可以作为估计预期收益率的基础,例如,在不景气时期下,预期盈利的下调是能被收益率解释的系统性风险,盈利预期的更正也可能会包含公司的特异性信息和宏观经济信息。与这一观点较为类似的,Carabias(2018)发现,分析师在预测更正中会持续纳入宏观经济消息。最后,使用预期盈利的月度变化可以帮助减轻分析师偏差的影响,尽管更正的滞后性仍将引入一定的度量误差,这与股价对收益率的滞后反应有些类似。

{w:100}目前为止考虑的10个盈利序列涉及前12个月的实际盈利或未来12个月的预期盈利。除了简化构造并避免在无期限的时长范围中预测盈利外,作者出于以下几个原因选择使用短期盈利:首先,虽然预期收益率应该与盈利预期的整个期限结构的变化有关,但我们并不清楚短期预期收益率更多地是由短期盈利的预期变化驱动还是长期盈利的预期变化驱动,例如,Binsbergen等(2012年)发现,短期股利的风险溢价高于长期股利,这与大多数资产定价模型所预测的相反;其次,由于分析师的绩效评估和投资者对分析师的排名主要侧重于短期预测能力,因此针对长期增长预测的更正相对不那么频繁,另外,短期的市场冲击也有可能比永久性的市场冲击发生得更为频繁,因此,定价和市场关注度往往会集中在短期盈利上。同样,Croce等人(2009年)表明,如果投资者不能区分短期和长期冲击,则短期股利的风险溢价可能会更高;第三,将注意力集中在更短的时期上更有利于实证,因为对于公司数量更多的一个横截面而言,短期范围内可使用的数据要更多。不过,作者所研究的最后一个盈利序列是基于分析师对长期增长预测的更正,该盈利序列针对的是公司数量较少的一组样本,覆盖的期限要更短。

盈利beta的估计

作者使用上述11个盈利序列来估算盈利beta。每个盈利序列在过去5年的滚动窗口上与市场相应的盈利序列进行回归,得到不同时间点上的盈利beta。为了计算11个市场盈利序列,作者对每个时间点上所有公司的实际和预期盈利进行求和,并对该时间点上同样的公司的上一期标准化指标求和,以确保分子和分母的样本一致,这种汇总方法等效于对公司进行市值加权。为了计算实际和预期盈利的逐期变化,作者首先计算了同一组公司在相邻时期的数据。

为了估计盈利beta,作者分别在投资组合层面和公司层面构建不同的盈利度量指标。然后,作者使用以下模型将盈利度量指标对等价的市场盈利指标进行滚动五年窗口回归,实际盈利每季度回归一次,预期盈利每月回归一次:

{w:100}等式(1)将给出不同时间点上盈利beta的估计。有关每个盈利序列的构建以及估算盈利beta的过程的更多详细信息,请参见附录B。作者还使用类似的方法,通过将CRSP市值加权指数的月度收益率进行滚动五年窗口回归来估计市场beta(请参阅附录A)。

\

研究设计与结果

样本和数据描述

作者结合Compustat、CRSP和I/B/E/S收集了有关公司基本面、股价和分析师预测的数据。图表1对样本结构进行了说明,该样本有1,392,337个“公司-月频”数据对,涵盖I/B/E/S未调整文件中的所有公司,并提供与CRSP和Compustat相匹配的未来两个财务期(F1和F2)的预测数据(1976-2017年)。由于五年窗口的滚动回归以及公司层面定价测试对公司特征数据的要求,因此丢失了部分数据。从1981年4月到2017年6月,最终样本为872,991个“公司-月频”数据对,覆盖了CRSP-Compustat-I/B/E/S合并股票池91.7%的总市值。

对于权益的账面价值,作者使用最新的季度或年度数据。参照Fama和French(1993),为避免使用未来数据,确保在实证分析中使用与投资者当期可获得的财务数据,作者在会计期结束后的第6个月(t+6)记录股价,并在第t+7个月计算收益率。

{w:100}图表2给出了投资组合层面和公司层面的收益率和beta估计值的分布。对于投资组合层面的统计数据,作者每个月根据B/P、E/P、规模、长期收益反转和资产增长率对公司进行分组,从而形成50个十分位数的投资组合,共21,750个“投资组合-月频”观测值(50个投资组合*435个月)。对于公司层面的统计数据,从1981年4月到2017年6月,在435个月(36年)中有872,991个“公司-月频”观测值。构造投资组合的主要优势之一是减少beta估计中的噪声,这可以在变异系数中被观察到(即标准差除以平均值)。对于投资组合层面的beta估计,其变异系数比公司层面的beta估计变异系数低一个数量级。此外,虽然在公司层面存在大量的负向盈利beta(约25%),但在投资组合层面的负向盈利beta则要少得多(少于5%),精度的提高意味着由投资组合层面的定价测试中得出的推论更具说服力。** **

{w:100}图表3给出了月度收益与投资组合层面(面板A)和公司层面(面板B)上的不同beta估计变量之间的月度相关系数(对角线上方)和秩相关系数(对角线下方)在横截面上的平均值。面板A中的相关系数表明,市值加权的月度收益与市场beta呈负相关(相关系数为-0.038),这与先前的文献一致(Black 1972;Frazzzini andPedersen 2014),但与11个盈利beta中的6个呈正相关。相关性最高的是按股价标准化的预期冲击beta(相关系数为0.037)。大部分盈利beta与市场beta呈正相关,且各盈利beta之间也大多呈正相关。

{w:100}

投资组合层面定价测试

与标准资产定价测试一样,本文的定价测试主要在投资组合层面进行,其优势在于beta估计值的噪声较少且可以减少异常值的影响。因此,按照构建市场盈利序列的方式,作者将各种盈利序列在投资组合层面进行累计。作者根据资产定价文献中通常使用的5个特征将公司各分为10组来形成投资组合,5个特征为规模、B/P、E/P、资产增长率和长期收益反转,这些特征能够解释无法被市场beta解释的收益部分。为了检验盈利beta是否被收益解释,作者使用了标准的两阶段横截面定价测试。在第一阶段,作者使用等式(1),将投资组合层面的11个不同盈利序列和市场盈利层面的相应盈利序列进行五年滚动窗口回归,来估算投资组合层面上不同时间点上的盈利beta。在第二阶段,将1981年至2017年期间每个投资组合的市值加权月度超额收益进行平均,并用第一阶段估算的投资组合beta的时间序列平均值进行回归。具体来说,作者在第二阶段进行了以下投资组合层面的定价测试:

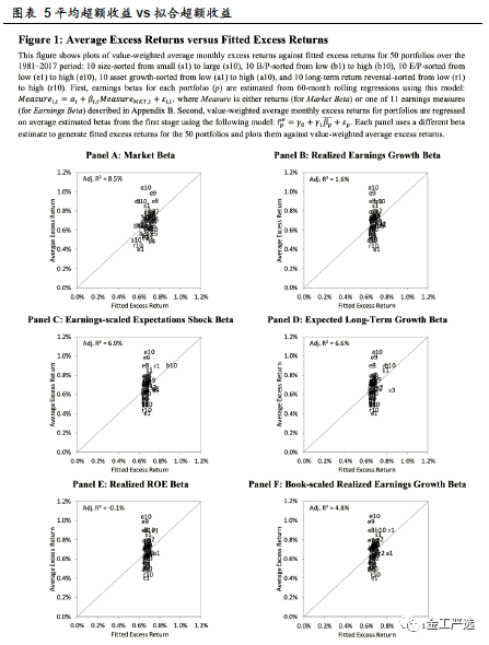
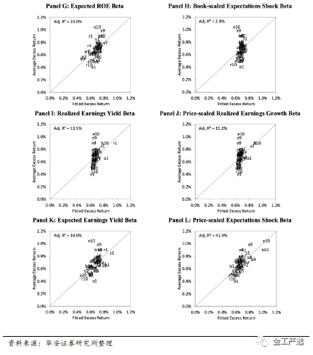
{w:100} {w:100} {w:100} {w:100} {w:100}图表5给出了50个投资组合的市值加权平均超额收益相对于拟合(即预测)超额收益的散点图,拟合超额收益是根据图表4中市场beta和11个盈利beta的估计系数计算的,这些图可以显示由各种估计的盈利beta所计算的拟合收益是否沿着散点图的分布方向,从而评估盈利beta的表现。图表5证实了由图表4得到的结果,即按股价标准化的预期冲击beta对50个投资组合的市值加权超额收益具有最佳的解释力。

通常,基于盈利变化(即增长)的盈利beta优于基于绝对盈利水平的盈利beta,基于盈利预期的beta优于基于实际盈利的beta,基于盈利预期变化的beta优于基于预期绝对盈利水平的beta。同样,基于股价标准化的盈利序列的beta优于基于账面价值标准化的盈利序列的beta。

接下来,作者将1981-2017年的样本分为两个子样本(1981-1996年和2002-2017年),同时剔除两个子样本之间的5年beta估计期,以此来进行样本外定价测试。作者分别估算每个子样本的盈利beta,并检验一个子样本的beta是否可以解释另一个子样本的市值加权月度横截面收益的变化。图表6中的面板A给出了2002-2017年期间月度收益和1980-1996年期间的盈利beta的定价测试结果。该结果整体上与图表4中的全样本结果类似,在11个盈利beta中,有4个仍具有正向且显著的风险溢价。按股价标准化的预期冲击beta具有最大的风险溢价,能够解释26.7%的收益率变化。图表6的面板B给出了1980-1996年期间月度收益和2002-2017年期间的盈利beta的定价测试结果。除了按股价标准化的预期冲击beta外,其他所有beta的风险溢价均较小。

{w:100}最后,考虑到Lewellen等人(2010)曾对仅使用有限数量的投资组合进行定价测试提出过质疑,作者还采用了Giglio和Xiu(2019)提出的三步回归定价测试法,从而可以考虑到在标准定价测试中可能遗漏的因子。这些定价测试涉及202个投资组合,包括25个按规模和B/P进行分组的投资组合、17个行业投资组合、25个按盈利能力和投资进行分组的投资组合、25个按规模和波动性进行分组的投资组合、35个按规模和股票净发行额进行分组的投资组合、25个按规模和应计额进行分组的投资组合、25个按规模和beta进行分组的投资组合以及25个按规模和动量进行分组的投资组合。图表7给出了使用Giglio和Xiu(2019)的估计量估算的风险溢价,该估计量考虑了无约束的beta系数,并从202个投资组合的收益中提取了6个主成分。作者发现11个盈利beta中有六个具有正向且显著的风险溢价,同时,与先前的定价测试一致,基于预期盈利的beta优于基于实际盈利的beta,前者的年度风险溢价为4%至6%。但与先前的定价测试不同的是,在图表4中预期ROE beta和预期盈利率beta具有负向且显著的风险溢价,而这些beta在现在的测试中具有正向且显著的风险溢价。另外,按股价标准化的预期冲击Beta仍表现最佳,其风险溢价为正且显著。

{w:100}

因子模拟投资组合

为了进一步测试收益中的系统性风险是否已被解释,作者利用不同的beta估计值构造了12个因子模拟投资组合,并对已知风险因子的超额收益进行时间序列上的回归。为了构造这12个投资组合,作者参照Fama和French(1993),在每年的六月,根据公司的11个盈利beta和市场beta,将所有公司分为五组,并做多高beta的公司,做空低beta的公司,从而构造了因子模拟投资组合,同时还计算了多空组的市值加权月度超额收益。如果收益的系统性风险已被解释,作者预期这些按beta分类的投资组合的收益会有所不同。图表8中的面板A给出了根据各种beta所构造的因子模拟投资组合的市值加权平均超额收益和经风险调整的alpha。按股价标准化的预期冲击beta(第12行)的因子模拟投资组合具有最高的市值加权月度平均超额收益,为0.72%,其次是预期盈利率beta(0.43%)和按账面价值标准化的预期冲击Beta(0.29%)。在控制了Fama和French(2015)和Carhart(1997)提出的因子后,基于按股价标准化的预期冲击beta的因子模拟投资组合具有最高的六因子alpha,为0.49%(年化5.9%)。当使用由Kelly等人(2019)开发的五因子主成分分析(IPCA)模型时,作者得到了相似的结果。

{w:100}图表8的面板B给出了Fama和French(2015)以及Carhart(1997)的6个因子在12个因子模拟投资组合上各自的beta系数。可以看到,所有因子模拟投资组合的市值加权平均超额收益的市场因子(RMRF)的beta系数均为正向且显著。10个投资组合的规模因子(SMB)的beta系数为正向且显著,这表明小市值公司较高的收益率可以弥补收益本身较高的系统性风险。基于实际盈利增长beta(第2行)、实际市盈率beta(第9行)、按股价标准化的实际盈利增长beta(第10行)和按股价标准化的预期冲击beta(第12行)的价值因子(HML)的beta系数为正向且显著,这一结果与这些盈利beta能够解释图表4中按B/P分类的投资组合的超额收益是一致的。所有投资组合的盈利能力因子(RMW)的beta系数是负向的,这表明ROE和beta之间存在负相关关系,这一结论与Penman(1991)一致。最后,投资因子(CMA)和动量因子(UMD)与因子模拟投资组合的收益大多呈负相关,不过许多投资组合的系数都不显著。

公司层面定价测试

接下来,作者在公司层面进行两阶段横截面定价测试。作者使用第一阶段回归得到的不同时间点的公司层面Beta估算值和以下第二阶段的横截面模型,来预测每月的超额收益(公式中的公司下标已省略):

{w:100} {w:100}图表9的面板A给出了使用等式(3)所得到的系数的时间序列平均值,该表的每一列使用不同的beta,第1列使用市场beta,第2-12列使用11种不同的盈利beta。与先前的结论一致,市场beta并不显著。在11个盈利beta中,有4个在公司层面具有正向且显著的风险溢价,包括预期ROE beta、按账面价值标准化的预期冲击beta、预期盈利率beta和按股价标准化的预期冲击beta。按股价标准化的预期冲击beta的系数最大,为0.104,t统计量为4.49,这意味着年度风险溢价为1.2%(0.104*12)。总体而言,公司层面的结果与投资组合层面的结果基本一致,基于预期盈利的beta优于基于实际盈利的beta。另外,与Giglio和Xiu(2019)的定价测试结果一致,预期ROE beta和预期盈利率beta具有正向且显著的风险溢价。规模、B/P、短期反转和动量的系数与其他研究(Lewellen 2015; Ball等人2015,2016)得到的方向和关系一致。

在图表9的面板B中,作者用Kelly等人(2019)和Freyberger等人(2020)考虑的36种公司特征代替了等式(3)中的标准控制变量。为简洁起见,面板B没有给出36个公司特征的单个系数。由于需要完整的36个公司特征的数据,作者减少了样本量,同时,由于Kelly等人(2019)提供的数据集于2014年5月结束,因此作者的测试结束时间也设置在同样的时间点。即使样本数量有所减少,主要的结论仍基本不变:基于预期盈利的盈利beta能够持续稳定地解释公司层面未来一个月超额收益在横截面上的波动。

beta和公司特征

接下来,作者研究了11种不同的盈利beta和市场beta与公司特征之间的关系。由于根据账面数据计算的财务指标与系统性风险有所关联(例如Botosan和Plumlee 2005),本文这一部分的分析可对盈利beta构造的有效性进行检验。尽管先前的文献已经探讨了在进行基本面分析时常用的账面财务指标(Ou和Penman, 1989),但作者在这里关注的是在理论上与系统性风险相关或与收益相关的变量,因为它们反映了一些不确定的结果,并且能够告诉我们由公司经营和融资过程中所产生的基本面风险(Penman 2013)。作者从Penman(2013)一文的图19.3中选择了一组变量,包括规模、盈利能力、杠杆率、波动性、增长、投资以及其他基本面风险指标。作者通过进行以下具有企业和月份固定效应的面板回归,并按企业和月份对标准误差进行聚类,来检验各种beta与这些企业特征之间的关系(请参阅Petersen 2009)。

{w:100}等式(4)中的许多变量与系统性风险具有直接或间接的理论关系,有关这些变量的详细说明,请参见附录A。根据相关理论,作者预计beta和规模之间以及beta和资产增长率之间将具有负相关关系。Berk等(2009)的分析表明,投资水平随着低风险投资项目的增加和生产率的提高而增加,从而可以降低现有资产的风险(Cooper and Priestley2011;Zhang 2005)。此外,Penman和Zhu(2014)认为资产的增加与不确定性的降低是相关联的(例如,应收款的增加代表着销售的增长,而库存的增加代表着未来的销售将增加),这表明beta与资产增长之间存在负相关关系。基于Penman(1991),作者还预测beta与净利润率之间存在负相关关系。

作者没有对beta和资产周转率之间的相关性方向进行预测,因为资产周转率的增加可能是由于分子中更多的收入,也可能是由于分母中资产的减少。此外,资产周转率可以描述增长机会和现有资产的相对重要性(Berk等,2009),也可以表征资产使用的有效性。

作者预测beta与金融杠杆和运营杠杆之间存在正相关关系。杠杆增加了公司必须承担的固定成本,从而降低了经营灵活性,并增加了盈利对由需求驱动的产出的变化的敏感性(Hamada 1972;Lev 1974;Bowman 1979)。此外,公司金融理论表明,杠杆较高的公司的beta要高于杠杆较低的公司的beta

此外,收入和主营业务变化较大可能意味着公司在未来的收入具有更大的不确定性,因此作者预测beta和营收波动率和盈利波动率之间存在正相关关系。Beaver等人(1970年)的研究还表明,盈利波动与市场beta正相关。另外,根据Penman和Zhang(2020)的观点,保守会计准则会导致与不确定性相关的盈利出现增长,因此作者预计beta与盈利增长之间存在正相关关系。

作者预测beta和B/P之间存在正相关关系。Fama和French(1995)指出,在合理的定价框架之下,B/P应当是收益中对常见风险因子敏感性的代理变量,而Zhang(2005)认为,价值公司(即高B/P公司)拥有更多资产,从而系统性风险更高。此外,鲍尔(1978)发现,包括E/P在内的多个变量与收益率呈正相关。由于盈利和所有者权益的账面价值的增加意味着收益不确定性的降低,因此E/P分母中的价格会解释这些收益的定价方式,并在很大程度上决定了与收益的关系。因此,作者预测E/P与beta存在正向关系。

最后,作者没有对beta和D/P之间的关系做出预测。一方面,股息支付消除了投资者对消费风险的不确定性,同时也意味着公司更好的发展前景。股息也会降低当期盈利,从而导致再投资减少,降低了未来盈利的增长。这两个潜在影响都表明D/P与预期回报之间存在负相关关系。另一方面,较高的股息收益率也可能是由于未来股息的折现率较高,这表明D/P与预期回报呈正相关。由于股息收益率受到股息变化和股价变化的影响,因此两个效应影响更大的一方将决定D/P与系统性风险的关系。最后,股息可能与估值无关(Miller and Modigliani1961)。因此,在进行实证分析之前,我们对D/P与beta的关系尚不清楚。

{w:100}图表10给出了不同beta在估算公式(4)下的结果。第1列检查了市场beta,第2-12列检查了11种不同的盈利beta。注意到,某些beta的符号与各种公司特征的预测关系不一致(以粗体突出显示)。例如,虽然规模与市场beta没有显著相关,但与按账面价值标准化的预期冲击beta和按股价标准化的实际盈利增长beta呈正相关。鉴于小市值公司具有较高的回报率,beta在解释小市值公司的回报率时,其符号预计为负(即小市值公司应具有较大的beta)。只有预期ROE beta和按股价标准化的预期冲击beta具有与预测一致的符号。

虽然不同的盈利beta的符号总体上与净利润率、经营杠杆和营收波动率的预期关系一致,但与金融杠杆、盈利波动率、资产增长率、盈利增长率、E/P和B/P的预期关系有所出入。在第1列至第12列的12种不同的beta中,有7种beta的系数至少有两个与预测的关系不一致,除了按股价标准化的预期冲击beta以外,所有其他beta的系数均至少有一个与预期符号相反。作者发现,在定价测试中表现最佳的盈利beta,其与公司特征之间的关系与预测的结果一致性最高。总体而言,以上结果表明,该盈利beta能够较为有效地来衡量系统性风险。

\

结论

虽然使用现金流基本面指标来估算现金流beta在理论上具有较强的逻辑支撑,但先前研究中采用的方法要求我们对收益方程进行对数线性化或对净盈余进行对数线性化,这些现金流beta可能难以构建,并且也带来了一些潜在的问题。在本文中,作者提出了一种更简单的方法,根据11种不同的盈利序列(包括实际盈利和预期盈利,包括绝对水平和变动),并采用三种不同的标准化方法来估算盈利beta。

在1981-2017年期间的投资组合层面和公司层面的定价测试中,作者发现盈利beta对月度超额收益在横截面上的解释能力对用来估算beta的盈利序列的构造方式较为敏感。整体而言,作者发现:(1)盈利beta优于市场beta,(2)基于盈利变化的盈利beta优于基于绝对盈利水平的beta,(3)基于预期盈利的beta优于基于实际盈利的beta,(4)基于预期盈利变化的beta优于基于预期绝对盈利水平的beta,并且(5)基于股价标准化的盈利序列的beta优于基于账面价值标准化的盈利序列的beta。另外,基于股价标准化的预期冲击盈利beta在各种定价测试中始终表现良好。

作者还研究了盈利beta与公司特征之间的关系,这些特征在理论上与系统性风险相关或在实证中与回报率相关,这部分的分析阐明了盈利beta构造方式的有效性。作者发现规模、盈利能力、波动性、杠杆和投资在内的公司特征确实与系统性风险相关,不过观察到的符号可能与预期的符号不同,这取决于具体所采用哪种盈利beta。总体而言,定价测试中表现最佳的盈利beta(即按股价标准化的预期冲击beta)和公司特征的实际关系和预测关系之间的一致性最高,从而说明该盈利beta可以较为有效地来度量系统性风险。

对于有兴趣使用本文所构造的盈利beta的研究人员还需要注意一下几点:首先,虽然基于股价标准化的盈利beta在计算增长率的时候可以避免使用负的标准化指标,并且它在实证中要优于基于账面价值标准化的盈利beta,但这些盈利beta并非纯粹基于现金流基本面指标。研究人员在使用该盈利beta之前,应考虑他们使用的股价在标准化时是否存在问题,如果存在,则应使用按账面价值标准化的盈利beta。其次,即使本文结果表明按股价标准化的预期冲击beta的表现要优于简单的ROE beta,但该盈利beta并不一定胜过Da和Warachka(2009)所构造的更为复杂的ROE beta。尽管本文提出的使用短期盈利来估算盈利beta易于操作,但在某些情况下,基于对数线性化方法来估算盈利beta可能更为合适,该方法适用于涉及无期限时长范围下的盈利。第三,未上市的公司是无法按股价来对盈利进行标准化的,另外,对于分析师未覆盖或I/B/E/S中没有数据的公司,则无法使用预期盈利。在这些情况下,可使用按账面价值标准化的实际盈利beta作为替代方案。但是,由于这些盈利beta使用的是季频数据,因此研究人员应认识到估计可能具有一定的不准确性。

最后,本文针对为何盈利beta的解释能力对用于估计beta的盈利序列的构造方式较为敏感进行了一些解释。比如,基于预期盈利的beta优于基于实际盈利的beta,这可能是因为预期盈利包含着前瞻性信息,月频数据也可以实现更为精确的beta估算。此外,基于盈利变化的盈利beta优于基于绝对盈利水平的盈利beta,这可能是因为盈利变化能提供有关盈利的更为丰富的信息,或可能是由于保守会计准则会使得绝对盈利水平更为失真。作者认为未来的研究可以尝试探索其他的解释。

本文核心内容摘选自A在Review of Accounting Studies上发表的论文《度量beta风险新视角:盈利beta因子》。

\

附录

{w:100} {w:100} {w:100} {w:100}

风险提示

本文结论基于历史数据与海外文献进行总结;不构成任何投资建议。

标签

资产定价Beta
{link}